Thiénamycine
| Thiénamycine | |
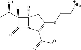
![]() Structure de la thénamycine (zwitterion à pH = 7) |
|
| Identification | |
|---|---|
| Nom UICPA | acide (5R,6R)-3-(2-aminoéthylsulfanyl)-6-[(1R)-1-hydroxyéthyl]-7-oxo-1-azabicyclo[3.2.0]hept-2-ène-2-carboxylique |
| No CAS | |
| PubChem | 43158 |
| SMILES | |
| InChI | |
| Propriétés chimiques | |
| Formule | C11H16N2O4S |
| Masse molaire[1] | 272,321 ± 0,017 g/mol C 48,52 %, H 5,92 %, N 10,29 %, O 23,5 %, S 11,78 %, |
| Unités du SI et CNTP, sauf indication contraire. | |
La thiénamycine est un composé chimique hétérocyclique à noyau β-lactame parmi les plus puissants antibiotiques naturels connus, découvert en 1976 à partir de Streptomyces cattleya. De la famille des antibiotiques β-lactame, à laquelle appartiennent les pénicillines, elle résiste aux enzymes bactériennes β-lactamase et est efficace contre les bactéries à Gram positif et Gram négatif.

Synthèse totale de la thiénamycine.
Notes et références
- ↑ Masse molaire calculée d’après « Atomic weights of the elements 2007 », sur www.chem.qmul.ac.uk.
- Portail de la chimie
- Portail de la microbiologie
- Portail de la médecine
- Portail de la pharmacie
Cet article est issu de Wikipedia. Le texte est sous licence Creative Commons – Attribution – Partage à l’identique. Des conditions supplémentaires peuvent s’appliquer aux fichiers multimédias.
