Héparine
| Héparine | ||
| ||
| ||
| Identification | ||
|---|---|---|
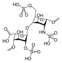
| Nom UICPA | Acide L-iduronique-2-O-sulfate (alpha1-4) D-glucosamine-N-sulfate, 6-O-sulfate (alpha1-4) |
|
| No CAS | ||
| No ECHA | 100.029.698 | |
| No CE | 232-681-7 | |
| Code ATC | B01, B01, C05, C05, S01, S01 | |
| PubChem | 772 | |
| Propriétés chimiques | ||
| Formule | C12H19NO20S3 [Isomères] |
|
| Masse molaire[1] | 593,469 ± 0,032 g/mol C 24,29 %, H 3,23 %, N 2,36 %, O 53,92 %, S 16,21 %, |
|
| Données pharmacocinétiques | ||
| Biodisponibilité | nulle (orale) | |
| Métabolisme | Hépatique | |
| Demi-vie d’élim. | 90 minutes | |
| Considérations thérapeutiques | ||
| Classe thérapeutique | Anticoagulant | |
| Voie d’administration | Intraveineuse Sous-cutanée |
|
| Unités du SI et CNTP, sauf indication contraire. | ||
L’héparine (en grec ancien ἧπαρ hepar « foie ») est un médicament anticoagulant, c'est une molécule qui fait partie des glycosaminoglycanes (GAG). Les oses constitutifs sont : la N-acétylglucosamine et des acides iduroniques.
Sa structure, difficile à étudier, est souvent controversée. C'est un mélange de différents polymères essentiellement constitués d'unités disaccharidiques trisulfatées :
- l'acide L-iduronique-2-O-sulfate (90 % de ses composants) ;
- D-glucosamine-N-sulfate, 6-O-sulfate (10 % de ses composants).
Mécanisme d'action
C'est une substance ayant des propriétés anticoagulantes extrêmement puissantes. Elle est fréquemment utilisée pour son action sur la thrombose. Elle est administrée par voie sous-cutanée ou intraveineuse, selon la dose à administrer. Elle active une protéine plasmatique : l'antithrombine III. Cette protéine de la famille des inhibiteurs de sérine protéase est un inhibiteur naturel des protéases impliquées dans la cascade de la coagulation (facteurs XIIa, XIa, IXa, Xa, IIa). Une fois liées à l'héparine (via des séquences particulières), ses actions inhibitrices sur les différentes protéases de la coagulation sont démultipliées. L'héparine présente un grand nombre de propriétés non exploitées encore en thérapeutique : métabolisme des lipides, anti-inflammatoire, anti-infectieux[2].
Elle est présente naturellement dans l'organisme au niveau des tissus conjonctifs chez l'Homme, et notamment au niveau des poumons, mais également chez les autres animaux. Elle est sécrétée notamment par les mastocytes lors de la réponse immunitaire. L'héparine est extraite industriellement d'intestin de porc (Europe) ou de poumon de bœuf. Les abats d'autres mammifères d'élevage peuvent être utilisés comme sources secondaires[3].
L'héparine est utilisée le plus souvent en perfusion continue. Elle a les avantages, par rapport aux héparines de bas poids moléculaire, d'être de durée de vie courte, et d'être aisément réversible par un antagoniste, la protamine, en cas de complications. Sa dose peut devoir être adaptée en cas d'insuffisance rénale[4]. L'ECP (eosinophil Cationic Protein) est une protéine éosinophile cationique, qu'on retrouve dans la matrice périphérique des granulocytes éosinophile, qui neutralise l'action de l'héparine.
La surveillance d'un traitement repose sur :
- le temps de céphaline kaolin (ou temps de céphaline activé) dont l'allongement permet d'optimiser le dosage de l'héparine ;
- la numération des plaquettes afin de dépister une complication pouvant être grave : la thrombopénie d'origine allergique pouvant être très importante et exposer à des risques de saignements et à la formation de caillots (les plaquettes sont « consommées ») ;
- l'activité anti-Xa (pour les HBPM).
Les effets indésirables sont à type de saignements, la thrombopénie, et plus rarement, l'ostéoporose (baisse du contenu en calcium des os).[réf. nécessaire]
Héparine de bas poids moléculaire
Les héparines de bas poids moléculaire (HBPM) sont des polymères sulfonés et glycosylés complexes, fabriquées par dépolymérisation chimique ou enzymatique de l'héparine. Il en existe plusieurs types : enoxaparine, tinzaparine, nadroparine. Elles s'administrent en injection sous cutanée en une ou deux injections par jour.
Le fondaparinux ou pentasaccharide est un dérivé de synthèse donnant théoriquement moins d'accidents allergiques (thrombopénie induite par l'héparine (TIH) notamment), mais qui par contre ne peut pas être antagonisé par la protamine.
La surveillance biologique d'un traitement par HBPM consiste en :
- la mesure de l'activité anti Xa ;
- la numération formule plaquette (NFP)(taux de plaquettes dans le sang), qui doivent être surveillées, en raison du risque de thrombopénie.
Leur administration devra être très soigneusement contrôlée en cas d'insuffisance rénale en raison des risques de surdosage.[réf. nécessaire]
Héparines non fractionnées ou HNF
Elles constituent l'héparine standard. Elles peuvent être injectées sous forme sous-cutanée (calciparine) ou intraveineuse continue (héparine). Le TCA est l'examen très sensible qui permet de quantifier leur activité. Elles peuvent être à l'origine de thrombopénie sévère d'origine immunoallergique de façon plus fréquente que les HBPM.
Effets indésirables
- Saignement et hémorragie
- Thrombopénies
Hémorragie
Thrombopénie induite par l'héparine (TIH)
Apparaissant souvent le 7e jour après l'introduction de l'héparine, elle est à l'origine d'une diminution sévère du taux de plaquettes. Potentiellement grave, cet accident est toujours redouté après l'introduction d'héparine. Cet évènement est surveillé par la Numération Formule Sanguine deux fois par semaine en traitement sous HNF ou HBPM. Les héparinoïdes de synthèses ne donnent pas de TIH. Tout antécédent d'accident sous héparine est une contre-indication formelle à la réintroduction d'héparine chez un patient.
Diminution de la synthèse d'aldostérone
Hyperkaliémie modérée potentielle
Ostéoporose
Traitement par héparines non fractionnée de plus de six mois
Élévation des enzymes hépatiques
Doses
Les héparines sont utilisées pour leurs vertus anticoagulantes. Elles peuvent s'administrer à des doses différentes selon l'objectif recherché. Aucune héparine ne traverse la barrière placentaire. En cas d'insuffisance rénale, si la clairance à la créatinine est inférieure à 30 mL/min, les HBPM sont contre-indiquées puisqu'elles s'accumulent dans l'organisme. En pédiatrie, les besoins en HNF sont 20 à 30 % supérieures à celles de l'adulte.
Prévention primaire
L'introduction d'héparine sert en prévention primaire à prévenir l'apparition d'accidents thrombo-emboliques, notamment lors de l'alitement prolongé et des suites post-opératoires.
Prévention secondaire
Les héparines sont alors utilisées à doses curatives en cas d'accident thrombo-embolique. Pour éviter une Thrombopénie Induite à l'Héparine (TIH), on effectue systématiquement un relais par Antivitaminiques K dès le 1er jour, en l'absence de contre-indications.
Divers
L'héparine fait partie de la liste des médicaments essentiels de l'Organisation mondiale de la santé (liste mise à jour en )[5].
Notes et références
- ↑ Masse molaire calculée d’après « Atomic weights of the elements 2007 », sur www.chem.qmul.ac.uk.
- ↑ Martin Delguste, Caroline Zeippen, Bénédicte Machiels et Jan Mast, « Multivalent binding of herpesvirus to living cells is tightly regulated during infection », Science Advances, vol. 4, no 8, , eaat1273 (ISSN 2375-2548, DOI 10.1126/sciadv.aat1273, lire en ligne, consulté le )
- ↑ ansm, « Etat des lieux sur les héparines », sur ansm.sante.fr, .
- ↑ RÉSUMÉ DES RECOMMANDATIONS DU COMITÉ ANTICOAGULOTHÉRAPIE IUCPQ-UL (lire en ligne)
- ↑ WHO Model List of Essential Medicines, 18th list, avril 2013
Voir aussi
Articles connexes
Liens externes
- Ressources relatives à la santé :
- Notices dans des dictionnaires ou encyclopédies généralistes :
- Portail de la chimie
- Portail de la pharmacie
- Portail de la médecine
- Portail de l’hématologie

