Diphacinone

Diphacinone
Image illustrative de l’article Diphacinone
Identification
Nom UICPA 2-(2,2-diphénylacétyl)-1H-indène-1,3(2H)-dione
Synonymes

diphénadione, (diphénylacétyl)-2 indanedione-1,3, 2-(diphénylacétyl)indane-1,3-dione, 2-(diphénylacétyl)-1H-indène-1,3(2H)-dione, 2-diphénylacétyl-1,3-dicétohydrindène, 2-diphénylacétyl-1,3-indanedione

No CAS 82-66-6
No ECHA 100.001.304
Code ATC B01AA10
PubChem 6719
SMILES
InChI
Apparence solide cristallin, jaune pâle[1]
Propriétés chimiques
Formule C23H16O3  [Isomères]
Masse molaire[2] 340,371 3 ± 0,020 4 g/mol
C 81,16 %, H 4,74 %, O 14,1 %,
Propriétés physiques
fusion 146,5 °C[1]
Solubilité 0,0003 g/L (eau, 20 °C)[1]
Données pharmacocinétiques
Stockage conserver dans un endroit sombre

Unités du SI et CNTP, sauf indication contraire.

La diphacinone, ou diphénadione[1], est un dérivé de l'indane-1,3-dione. C'est un anticoagulant qui fonctionne comme un antagoniste de la vitamine K et qui est utilisé comme rodenticide.

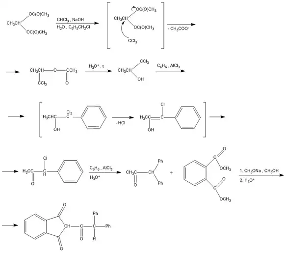
Synthèse

Propriétés

La diphacinone agit en perturbant les facteurs de coagulation des rongeurs, ce qui produit des hémorragies internes mortelles. La diphacinone agit sur de nombreux mammifères. Plusieurs doses de poisons doivent être absorbées pour tuer un animal. Son antidote est la vitamine K1[3].

Ce composé est instable à la lumière[1]. En présence de graisse, il est absorbé par la peau[4].

Notes et références

  1. 1 2 3 4 5 (Diphenylacetyl)-2 indandione-1,3, sur le site de la Commission de la santé et de la sécurité du travail (CSST)
  2. Masse molaire calculée d’après « Atomic weights of the elements 2007 », sur www.chem.qmul.ac.uk.
  3. Organisation des Nations unies pour l'alimentation et l'agriculture, Rodenticides : analyses, normes, préparations utilisées en santé publique et en agriculture, Organisation des Nations unies pour l'alimentation et l'agriculture, , 75 p. (ISBN 978-92-5-200798-2, lire en ligne)
  4. (ru) Рыльников В.А., Заева Г.Н.и др., Методические указания по применению родентицидного средства "Ратиндан" фирмы "Олайнфарм" (Латвия).
  • icône décorative Portail de la chimie
  • icône décorative Portail de la pharmacie
  • icône décorative Portail de la protection des cultures
  • icône décorative Portail de l’hématologie
Cet article est issu de Wikipedia. Le texte est sous licence Creative Commons – Attribution – Partage à l’identique. Des conditions supplémentaires peuvent s’appliquer aux fichiers multimédias.