Dextrane

Le dextrane est un polymère ramifié de dextrose (glucose) de masse moléculaire très élevée, appartenant au groupe des colloïdes.
C'est un des exopolysaccharides excrétés par divers microorganismes du sol, qui jouent un rôle important, à échelle moléculaire dans la formation et conservation des sols[1] (dextrane, xanthane, rhamsane, succinoglycane). Du dextrane peut être formé si de la canne à sucre reste trop longtemps au soleil avant d’être traité dans les moulins, ce qui diminue la quantité de sucre (glucose) disponible.
Biochimie
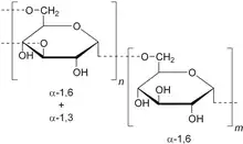
Les glucoses de ce polysaccharide sont reliés par des liaisons alpha 1-6, il possède des ramifications constituées de liaisons alpha 1-3 ou 1-4.
Ces liaisons sont non-hydrolysables dans l'organisme humain.
Production
Il est obtenu à partir de l'action enzymatique de bactéries leuconostic mesenteroides gram positive sur le saccharose.
Usages
On utilise le dextrane en fonction de ses différents poids moléculaires:
Poids moléculaire de 60 000 à 70 000, le dextrane est utilisé pour le remplacement de plasma et pour doser les lipoprotéines du sang.
Le dextrane est également utilisé pour la fabrication de larmes artificielles, dans l'insuffisance lacrymale ou pour les porteurs de lentilles.
En chimie, le dextrane peut être utilisé pour évaluer la taille des canaux ioniques. Seulement les dextranes dont les dimensions sont proches du diamètre du canal ionique étudié permettront d'inhiber son activité[2],[3],[4].
Il fait partie de la liste des médicaments essentiels de l'Organisation mondiale de la santé (liste mise à jour en )[5].
Voir aussi
Articles connexes
- Biochimie
- exopolysaccharide
Références
- ↑ Lina Judith Henao Valencia, Thèse (Chimie Physique Moléculaire et Structurale ): Étude des bases moléculaires de l'agrégation des sols par des exopolysaccarides bactériens ; Grenoble, le 28 octobre 2008, Université Joseph fourier de Grenoble
- ↑ (en) P. H. Schlesinger, N. K. Djedovic, R. Ferdani, J. Pajewska, R. Pajewski, G. W. Gokel, « Anchor chain length alters the apparent mechanism of chloride channel function in SCMTR derivatives », Chem. Commun., vol. 2003, no 3, 2003, p. 308–309, lien pubmed
- ↑ (en) M. Saito, S. J. Korsmeyer, P. H. Schlesinger, « BAX-dependent transport of cytochrome c reconstituted in pure liposomes », Nat. Cell Biol., vol. 2, no 8, 2000, p. 553-555, lien Pubmed
- ↑ (en) N. Sakai, C. Ni, S. M. Bezrukov, S. Matile, « Voltage-dependent ion channel formation by rigid rod-shaped polyols in planar lipid bilayers », Bioorg. Med. Chem.Lett., vol. 8, no 19, 1998, p. 2743-2746, lien Pubmed
- ↑ WHO Model List of Essential Medicines, 18th list, avril 2013
- Portail de la biochimie
- Portail de la chimie
- Portail de la médecine
- Portail de la pharmacie
- Portail de l’hématologie