Phosphatidylglycérol

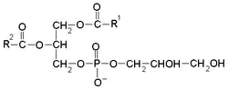
Structure générique d'un phosphatidylglycérol.
Un phosphatidylglycérol est un phospholipide constitué d'un acide phosphatidique lié par une liaison ester à un résidu glycérol.
Ces composés sont les précurseurs du surfactant pulmonaire et leur présence dans le liquide amniotique indique la maturité pulmonaire du fœtus. Bien que leur concentration ne dépasse pas 5 % des phospholipides de cette sécrétion, ils joueraient plus particulièrement un rôle dans la dispersion du tensioactif pulmonaire sécrété par les pneumocytes de type II sur les 98 % de la surface alvéolaire occupés par les pneumocytes de type I. Le manque de phosphatidylglycérol conduit à une insuffisance respiratoire sévère.
- Portail de la chimie
- Portail de la biochimie
- Portail de la biologie cellulaire et moléculaire
- Portail de la médecine
Cet article est issu de Wikipedia. Le texte est sous licence Creative Commons – Attribution – Partage à l’identique. Des conditions supplémentaires peuvent s’appliquer aux fichiers multimédias.