Uridine monophosphate
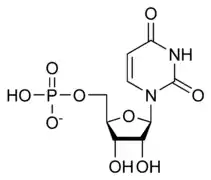
L’uridine monophosphate (UMP), également appelée acide 5'-uridylique, est un ribonucléotide constitué de résidus d'uridine, une base nucléique, et de ribose estérifié par un groupe phosphate. Avec l'adénosine monophosphate (AMP), la guanosine monophosphate (GMP) et la cytidine monophosphate (CMP), elle est l'un des monomères constituant l'ARN, où l'uracile peut se lier à l'adénine par deux liaisons hydrogène.
| Uridine monophosphate | |
| |
| Structure de l'uridine monophosphate | |
| Identification | |
|---|---|
| Nom UICPA | [(2R,3S,4R,5R)-5-(2,4-dioxopyrimidin-1-yl)-3,4-dihydroxyoxolan-2-yl]méthyle dihydrogène phosphate |
| No CAS | |
| No ECHA | 100.000.371 |
| No CE | 200-408-0 |
| PubChem | 6030 |
| ChEBI | 16695 |
| SMILES | |
| InChI | |
| Propriétés chimiques | |
| Formule | C9H13N2O9P [Isomères] |
| Masse molaire[1] | 324,181 3 ± 0,011 2 g/mol C 33,34 %, H 4,04 %, N 8,64 %, O 44,42 %, P 9,55 %, |
| pKa | 1,0 ; 6,4 ; 9,5 |
| Propriétés physiques | |
| T° fusion | 202 °C déc |
| Unités du SI et CNTP, sauf indication contraire. | |
Rôle biologique
Dans l'ARN, le nucléotide uridine, ou "U", est l'analogue de la thymidine (T) dans l'ADN, dont il ne diffère que par un méthyle, présent sur le T et absent sur le U. L'uridine peut former des appariements de type Watson et Crick avec l'adénosine, les paires A-U de l'ARN étant analogues aux paires A-T de l'ADN. De plus, l'uridine peut former des paires "bancales" (en:wobble) avec les guanosines. Ces appariements bancals G-U interviennent dans le décodage du code génétique par les ARNt, au niveau de l'interaction codon-anticodon.
Notes et références
- Masse molaire calculée d’après « Atomic weights of the elements 2007 », sur www.chem.qmul.ac.uk.
- Portail de la biologie cellulaire et moléculaire
- Portail de la biochimie
- Portail de la chimie
