Synthèse d'indole de Nenitzescu
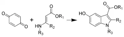
La synthèse d'indole de Nenitzescu est une série de réactions organiques permettant de former des dérivés 5-hydroxyindolés à partir de benzoquinone et d'esters β-aminocrotoniques.

Synthèse de Nenitzescu de l'indole
Notes et références
- Nenitzescu, C. D. Bull. Soc. Chim. Romania 1929, 11, 37.
- Allen, Jr., G. R. et al. J. Am. Chem. Soc. 1966, 88(11), 2536-2544. ()
- Allen, Jr., G. R. Org. React. 1973, 20, 337.
- Pawlak, J. M. et al. J. Org. Chem. 1996, 61, 9055.
- Portail de la chimie
Cet article est issu de Wikipedia. Le texte est sous licence Creative Commons – Attribution – Partage à l’identique. Des conditions supplémentaires peuvent s’appliquer aux fichiers multimédias.