Synthèse de dioxindole de Martinet
La synthèse de dioxindole de Martinet est une série de réactions organiques permettant de synthétiser des dioxindoles (3) à partir de d'anilines N-substituées, et d'esters d' l'acide mésoxalique (1)[1],[2].
Mécanisme réactionnel

The Martinet dioxindole synthesis
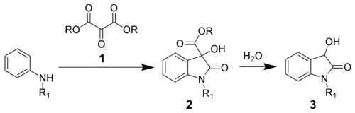
Le chauffage de l'aniline N-substituée en présence d'un ester de l'acide mésoxalique (1) permet de produire le dioxyindole (2) encore substitué par un groupe ester. Le chauffer en présence d'eau permet d'hydrolyser la dernière fonction ester, et permet une décarboxylation pour produite le dioxindole désiré (3).
Notes et références
- Guyot, A.; Martinet, J. Compt. Rend. 1913, 156, 1625.
- Sumpter, Ward C. "The Chemistry of Oxindole" Chem. Rev. 1945, 37, 443–479. (DOI 10.1021/cr60118a003)
- (en) Cet article est partiellement ou en totalité issu de l’article de Wikipédia en anglais intitulé « Martinet dioxindole synthesis » (voir la liste des auteurs).
Cet article est issu de Wikipedia. Le texte est sous licence Creative Commons – Attribution – Partage à l’identique. Des conditions supplémentaires peuvent s’appliquer aux fichiers multimédias.