Rouge naphtol
Le rouge naphtol (pigment Red 170 ou PR170) est un pigment organique largement utilisé dans des revêtements et des peintures automobiles.
| Rouge naphtol | |
  
    | |
| Identification | |
|---|---|
| Nom UICPA | 4-(2-(4-carbamoylphényl)hydrazono)-N-(2-éthoxypényl)-3-oxo-3,4-dihydronaphtalène-2-carboxamide | 
| Synonymes | 
 C.I. 12475, C.I. Pigment Red 170  | 
| No CAS | |
| No ECHA | 100.018.645 | 
| No CE | 220-509-3 | 
| PubChem | 5359812 | 
| SMILES | |
| InChI | |
| Propriétés chimiques | |
| Formule | C26H22N4O4  [Isomères] | 
| Masse molaire[1] | 454,477 3 ± 0,024 3 g/mol  C 68,71 %, H 4,88 %, N 12,33 %, O 14,08 %,  | 
| Propriétés physiques | |
| Masse volumique | 1,317 g·cm-3 [réf. souhaitée] | 
| Unités du SI et CNTP, sauf indication contraire. | |
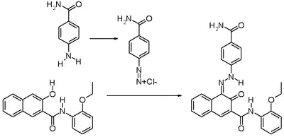
Il est produit par synthèse en convertissant le p-aminobenzamide en le composé de diazonium correspondant, suivi d'un couplage azo avec de l'amide 3-hydroxy-2-naphtamide de (2-éthoxy)anilide :
À l'état solide, des formes tautomères hydrazo et plusieurs structures cristallines existent. Dans la forme polymorphe α initiale, les molécules sont disposées dans un motif à chevrons avec de nombreuses liaisons hydrogène. Le polymorphe φ plus stable est aussi plus dense et est produit industriellement par traitement thermique dans l'eau à 130 °C sous pression. Dans cette phase, les molécules sont planes et disposées en couches. De nombreuses liaisons hydrogène existent dans les couches, mais entre les couches les seules interactions sont des forces de van der Waals. Les structures cristallines denses sont préférées pour les pigments utilisés dans les revêtements parce que face à la décomposition photochimique, les fragments maintenus en place sont capables de se recombiner. Des recherches montrent que par le remplacement du groupe éthoxy dans ce composé par un groupe méthoxy, la structure cristalline est moins stable et en application pratique, la couleur disparaît plus facilement. Par une sélection minutieuse des substituants, il est possible d'optimiser la structure cristalline et améliorer les propriétés optiques[2].
Notes et références
    
- (en) Cet article est partiellement ou en totalité issu de l’article de Wikipédia en anglais intitulé « Naphthol Red » (voir la liste des auteurs).
 
- Masse molaire calculée d’après « Atomic weights of the elements 2007 », sur www.chem.qmul.ac.uk.
 - Martin U. Schmidt, Detlef W. M. Hofmann, Christian Buchsbaum, Hans Joachim Metz, Crystal Structures of Pigment Red 170 and Derivatives, as Determined by X-ray Powder Diffraction , Angewandte Chemie International Edition, 2006, vol. 45(8), p. 1313-1317, DOI 10.1002/anie.200502468.
 
- Portail de la chimie
 - Portail de l’automobile
 

