Rhodanèse
La rhodanèse, également appelée rhodanase et thiosulfate sulfurtransférase (TST), est une transférase qui catalyse la réaction :
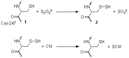
Cette enzyme mitochondriale intervient dans la détoxication du cyanure[2]. La réaction se produit en deux étapes, représentées sur le schéma ci-dessous :
- le thiosulfate S2O32− réagit avec le groupe thiol du résidu Cys-247 (1) pour former un disulfure (2) en libérant un ion sulfite SO32− ;
- le disulfure –S–SH réagit avec le cyanure CN− pour former le thiocyanate SCN− en redonnant le thiol –SH initial.

Mécanisme réactionnel de la rhodanèse.
Notes et références
- (en) Michele Cianci, Francesca Gliubich, Giuseppe Zanotti et Rodolfo Berni, « Specific interaction of lipoate at the active site of rhodanese », Biochimica et Biophysica Acta (BBA), vol. 1481, no 1, , p. 103-108 (PMID 11004580, DOI 10.1016/S0167-4838(00)00114-X, lire en ligne)
- (en) R. Cipollone, P. Ascenzi, P. Tomao, F. Imperi et P. Visca, « Enzymatic Detoxification of Cyanide: Clues from Pseudomonas aeruginosa Rhodanese », Journal of Molecular Microbiology and Biotechnology, vol. 15, nos 2-3, , p. 199-211 (PMID 18685272, DOI 10.1159/000121331, lire en ligne)
- Portail de la biochimie
Cet article est issu de Wikipedia. Le texte est sous licence Creative Commons – Attribution – Partage à l’identique. Des conditions supplémentaires peuvent s’appliquer aux fichiers multimédias.