Réaction de Pinner
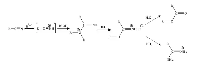
La réaction de Pinner est la réaction d'un nitrile avec un alcool par catalyse acide. Le produit formé est un sel d'un imidoester, qui est parfois appelé sel de Pinner[1],[2],[3],[4].
Ce sel peut réagir avec un excès d'alcool pour former un orthoester. C'est une voie de synthèse des esters.
Mécanisme
    

Notes et références
    
- (en) Cet article est partiellement ou en totalité issu de l’article de Wikipédia en anglais intitulé « Pinner reaction » (voir la liste des auteurs).
 
- (de) A. Pinner et F. Klein, « Umwandlung der Nitrile in Imide », Ber. Dtsch. Chem. Ges., vol. 10, no 2, , p. 1889–1897 (ISSN 0009-2940, DOI 10.1002/cber.187701002154, lire en ligne).
 - (de) A. Pinner et F. Klein, « Umwandlung der Nitrile in Imide », Ber. Dtsch. Chem. Ges., vol. 11, no 2, , p. 1475–1487 (ISSN 0009-2940, DOI 10.1002/cber.18780110258, lire en ligne).
 - (de) A. Pinner, « Ueber die Umwandlung der Nitrile in Imide », Ber. Dtsch. Chem. Ges., vol. 16, no 2, , p. 1643–1655 (ISSN 0009-2940, DOI 10.1002/cber.18830160235, lire en ligne).
 - (en) R. Roger et D. G. Neilson, « The Chemistry of Imidates », Chem. Rev., vol. 61, no 2, , p. 179–211 (ISSN 0009-2665, DOI 10.1021/cr60210a003).
 
- Portail de la chimie
 
    Cet article est issu de Wikipedia. Le texte est sous licence Creative Commons – Attribution – Partage à l’identique. Des conditions supplémentaires peuvent s’appliquer aux fichiers multimédias.