Pouvoir méthanogène
Le pouvoir ou potentiel méthanogène, souvent dit dit BMP (acronyme de biochemical methane potential), correspond à la quantité de méthane produit par un substrat organique lors de sa biodégradation en condition anaérobie durant le processus de méthanisation. Ce volume de méthane, rapporté à la quantité de substrat frais, sec (MS) ou volatil (MV) est généralement exprimé dans les conditions normales de température et de pression (0 °C, 1 013 hPa). Cet indicateur , est utilisé pour dimensionner des unités de méthanisation, doser les intrants et contrôler leur qualité, mais aussi pour évaluer les éventuelles pertes de carbone durant le temps de stockage.
Le calcul du BMP se fait en laboratoire et il présente l'inconvénient d'être long (« deux à six semaines en fonction de la biodégradabilité de la biomasse analysée »[1]). Des scientifiques cherchent donc des méthodes alternatives d'évaluation plus rapide (moins de 4 jours, voire moins encore) du potentiel méthanogène d'une matière ou d'un mélange, une piste étant par exemple la spectroscopie dans l'infrarouge proche qui pourrait peut-être permettre de beaucoup plus rapidement évaluer le potentiel méthanogène d'intrants de méthanisation[2],[1].
Détermination du potentiel méthanogène
La détermination de ce potentiel, pour chaque intrant ou pour des mélanges d'intrants est un élément central et incontournable pour toute réflexion autour des procédés de méthanisation, depuis l’analyse technique et économique d’un projet, le dimensionnement des installations de traitement et de valorisation, jusqu’à l’évaluation des performances d’un procédé.
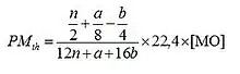
Calcul théorique
L’équation de Buswell et Müller (1952)[3], complétée par Boyle (1976)[4], qui y intègre soufre et azote, permet de prédire la quantité et la composition théorique du biogaz produit lors de la biodégradation anaérobie d’un substrat, dont la composition élémentaire est connue.
Le potentiel méthanogène théorique d’un produit, peut alors être calculé selon la formule ci-contre.

Le résultat du calcul théorique est uniquement prédictif, car il ne peut pas tenir compte de nombreux facteurs liés notamment : à la biodégradabilité et à la biodisponibilité de ces éléments, à la croissance et au renouvellement cellulaire, aux vitesses de biodégradation des divers composés organiques, aux phénomènes de solubilisation (notamment du dioxyde carbone), de précipitations, d’inhibitions ou de carences. Elles ne doit pas être substituée à la mesure du potentiel méthanogène réalisée directement sur le substrat concerné.
Mesure
La mesure du potentiel méthanogène réel est réalisée au laboratoire. La majorité des méthodes de mesures reposent sur la mise en culture, en bioréacteur fermé, d’une quantité connue de la matière organique à caractériser et d’une quantité également connue de micro-organismes anaérobies (inoculum), placés dans des conditions propices au développement d’une activité biologique anaérobie optimale. Au cours de l’essai, les microorganismes dégradent la matière organique apportée, ce qui se traduit par la production de biogaz. À la fin de cette phase de réaction, la vitesse de production de biogaz chute, signe de la fin de la biodégradation de la matière organique. La production de biogaz (ou directement de méthane après capture du CO2) est mesurée au cours du temps, et la composition du biogaz produit est généralement analysée par chromatographie en phase gazeuse. Le potentiel méthane de chaque échantillon est déterminé à partir de la quantité cumulée de méthane produit au cours de l’essai.
Limites, interprétation et portée de la mesure
La mesure du potentiel méthanogène est généralement réalisée au laboratoire, en bioréacteur, en mode discontinu à partir d’un seul ajout de substrat, fortement dilué dans un milieu réactionnel dont la composition, largement influencée par la nature de l’inoculum anaérobie utilisé, varie d’un essai à l’autre. Une étude portant sur plusieurs dizaines de laboratoires donne une étendue de valeurs de 15 à 53 % selon les substrats[5].
Ces conditions opératoires limitent la validité de la mesure au seul volume de méthane produit. Ainsi, la vitesse de dégradation du substrat, le volume, la composition et la cinétique de production de biogaz mesurés au cours de l’essai, ne constituent en aucun cas des données reproductibles et ne sauraient être interprétés comme telles. Ce type de données qualitatives et cinétiques relatives à la production de biogaz, nécessaires pour dimensionner un procédé de méthanisation, ne peuvent être obtenues que grâce à la réalisation d’essais en bioréacteurs continus ou semi-continus qui ne pourront conclure qu'une fois le régime permanent atteint.
De plus, la forte dilution de l'intrant durant le test peut cacher l'effet d'un éventuel produit toxique (ou inhibiteur) pour les bactéries responsables de la méthanisation qui serait présent dans le substrat. Il ne permet pas non plus d'évaluer des carences nutritionnelles qui se révèleraient par la suite en processus continu.
Pour cette raison, un autre test, test de toxicité, dit ATA (pour Anaerobic Toxicity Assays) est parfois également réalisé[6] (il est plus rapide : quelques jours, mais ne peut prendre en compte d'éventuels phénomènes d'acclimatation des bactéries au composé toxique, ni l'éventuelle accumulation du produit contenu dans la boue jusqu'à des niveaux toxiques)[7].
Valeurs indicatives du potentiel méthanogène de quelques produits organiques
Les valeurs présentées dans le tableau suivant, sont données à titre indicatif et ne sauraient être considérées comme représentatives de l'ensemble des produits organiques concernés. En effet, les potentiels méthanogènes de substrats appartenant à une même classe de produits organiques (résidus alimentaires, graisses usagées, boues de stations d'épurations, fumiers bovins, ...) peuvent varier de manière très importante en fonction de la composition chimique du produit considéré. Seule une mesure réalisée par un laboratoire spécialisé, permet de connaitre le potentiel méthanogène d'un substrat organique.
| Matière organique | Quantité (m3CH4/t MB) |
|---|---|
| Huile alimentaire | 784 |
| Paille de maïs | 331 |
| Semence déclassée | 274 |
| Graisse usagée | 261 |
| Graisse de flottation | 244 |
| Déchet silo séchage maïs | 220 |
| Rafle | 182 |
| Fientes de poule | 160 |
| Spathe | 153 |
| Alcool distillerie | 152 |
| Ensilage de maïs | 99 |
| Déchet vert (tontes) | 81 |
| Drêche de brasserie | 75 |
| Résidu alimentaire | 63 |
| Déchets légumes de conserveries | 45 |
| Matière stercoraire | 36 |
| Lisier de canard gras | 32 |
| Fumier de bovin mou | 26 |
| Lisier de porcelet | 16 |
| Lisier de bovin | 13 |
| Lisier de porc engraissement | 13 |
| Déchets de poisson | 8 |
| Résidu de distillation de fruits | 7 |
| Lisier de porc mixte | 7 |
| Lisier de truie gestante | 4 |
Notes et références
- Mortreuil P & al. (2017) Utilisation de la spectroscopie proche Infrarouge pour la détermination du potentiel méthanogène des intrants de méthanisation (voir P9 et p11 du Recueil des Résumés JRI 2017, 6)
- Ward A.J (2016) Near-Infrared Spectroscopy for Determination of the Biochemical Methane Potential: State of the Art. Chemical Engineering & Technology 39, 611-619. (résumé)
- (en) Buswell A.M. et Müller H.F., « Mechanism of methane fermentation », Ind. Eng. Chem., vol. 44, , p. 550-552.
- (en) Boyle W.C., « Energy recovery from sanitary landfills – a review. », dans Schlegel, H.G. et Barnea, S., Microbial Energy Conversion, Oxford, Pergamon Press, .
- H. Fruteau de Laclos, C. Holliger et S. Hafner, « Problématique de la fiabilité des tests de potentiel méthanogène (BMP) : résultats d'une étude inter-laboratoire internationale et perspectives », Journées Recherche Innovation Biogaz méthanisation,
- Owen, W. F., Stuckey, D. C., Healy Jr, J. B., Young, L. Y., & McCarty, P. L. (1979) Bioassay for monitoring biochemical methane potential and anaerobic toxicity. Water research, 13(6), 485-492.
- Lara Moody P.E () Using Biochemical Methane Potentials & Anaerobic Toxicity Assays ; Iowa State University
- « Méthasim, Outil de simulation technico économique de méthanisation », IFIP-Institut du porc, . Identifiants : bugmenot/bugmenot
- Essam Almansour, Jean-François Bonnet et Manuel Heredia, « Potentiel de production de biogaz à partir de résidus agricoles ou de cultures dédiées en France », SET, no 04, , p. 64-73 (lire en ligne).
Voir aussi
Articles connexes
- biogaz
- méthanisation
- digesteur
- écologie
- déchet (gestion des déchets)
- Compostage (biologie)
- biogaz carburant
- Bois énergie
- Demande chimique en oxygène
Liens externes
- « Potentiel méthanogène », sur INRA Transfert Environnement (laboratoire de l'INRA)
- Portail de la chimie
- Portail de l’énergie