Pisatine
La pisatine (3-hydroxy-7-méthoxy-4',5'-méthylènedioxy-chromanocoumarane) est une phytoalexine produite par le pois (Pisum sativum)[2]. C'est la première phytoalexine qui a été purifiée[3] et chimiquement identifiée[4].
| Pisatine | |
  
    | |
| Structure 2D de la molécule de pisatine. | |
| Identification | |
|---|---|
| Nom UICPA | 3-hydroxy-7-méthoxy-4',5'-méthylènedioxy-chromanocoumarane | 
| No CAS | |
| SMILES | |
| InChI | |
| Propriétés chimiques | |
| Formule | C17H14O6  [Isomères] | 
| Masse molaire[1] | 314,289 5 ± 0,016 4 g/mol  C 64,97 %, H 4,49 %, O 30,54 %,  | 
| Unités du SI et CNTP, sauf indication contraire. | |
Sa formule moléculaire est C17H14O6.
Structure et propriétés
    
La structure de la pisatine se compose d'un ptérocarpane (en) qui en forme l'ossature et se distingue par la présence d'un groupe hydroxyle sur la partie non-aromatique de la molécule[2]. Cette molécule est légèrement soluble dans l'eau et a une solubilité élevée dans les solvants organiques. La pisatine est stable dans des solutions neutres ou légèrement basiques et perd de l'eau en présence d'acide pour se transformer en anhydropisatine[4].
Résistance à la pisatine
    
La résistance à la pisatine semble être une caractéristique importante des agents pathogènes de Pisum sativum. La détoxication de la pisatine implique le retrait du groupe 3-O-méthyle, ce qui réduit la toxicité de la molécule. Une enzyme connue sous le nom de pisatine déméthylase est responsable de cette catalyse et a été identifiée chez Haematonectria haematococca comme une enzyme cytochrome P450. La plupart des champignons dotés de ce métabolisme sont résistants à la pisatine, toutefois certains pathogènes ne possèdent pas le gène de la pisatine déméthylase. Ces pathogènes ont peut-être d'autres mécanismes pour métaboliser les phytoalexines. En outre, de nombreuses espèces microbiennes ont la capacité de détoxiquer la pisatine, mais les souches les plus virulentes ont les plus forts taux de déméthylation[5].
Champignons résistants
    
- Haematonectria haematococca[6],[7].
 - Ascochyta pisi[8].
 - Fusarium oxysporum[9].
 - Phoma pinodella[10].
 - Mycosphaerella pinodes [10].
 - Rhizoctonia solani [10].
 
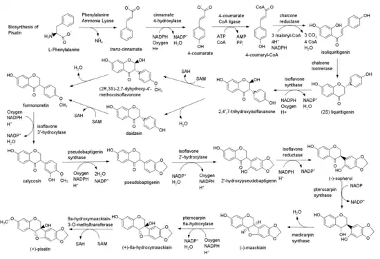
Biosynthèse
    

La biosynthèse de la pisatine commence par celle d'un acide aminé, la L-phénylalanine. Une réaction de désamination produit alors de la trans-cinnamate[11], qui subit une hydroxylation pour former de la 4-coumarate[12]. L'acétyl-CoA est ensuite ajouté pour former le 4-coumaryl-CoA[13]. Trois fragments de malonyl-CoA sont ensuite ajoutés et cyclisés pour introduire un cycle phénol[14]. Une réaction d'isomérisation se produit ensuite[15], suivie par une hydroxylation et un réarrangement[16] du groupe phénol pour former la 2,4',7-trihydroxyisoflavonone. Cette molécule peut alors suivre l'une des deux voies possibles, qui impliquent toutes deux la perte d'eau[17] et une méthylation[18],[19] pour produire de la formononétine. Ce produit subit ensuite une hydroxylation pour former la calycosine[20], suivie par la formation d'un anneau de dioxolane[21].
Une autre hydroxylation intervient ensuite, suivie par une isomérisation pour former le (-)sophérol[22]. La réduction d'un groupe carbonyle à un groupe hydroxyle[23] et la perte d'eau[24] forme ensuite la (+)maackiaïne, qui subit un réarrangement stéréochimique et une hydroxylation pour former la (+)6a-hydroxymaackiaïne[25]. Cette molécule est ensuite méthylée pour produire la pisatine[26],[27].
Notes et références
    
- Masse molaire calculée d’après « Atomic weights of the elements 2007 », sur www.chem.qmul.ac.uk.
 - (en) Iam Cruickshank, « Studies on phytoalexins IV: The antimicrobial spectrum of pisatin », Australian Journal of Biological Sciences, vol. 15, no 1, .
 - (en) Iam Cruickshank et D.R. Perrin, « Isolation of a phytoalexin from Pisum sativum L. », Nature, vol. 187, , p. 799–800 (DOI 10.1038/187799b0).
 - (en) D.R. Perrin et W. Bottomley, « Studies on phytoalexins. V. The structure of pisatin from Pisum sativum L. », J. Am. Chem. Soc., vol. 84, , p. 1919–22 (DOI 10.1021/ja00869a030)
 - (en) H.D. VanEtten, D.E. Matthews et P.S. Matthews, « Phytoalexin detoxification: Importance for pathogenicity and practical implications », Annual Review of Phytopathology, vol. 27, , p. 143–164 (DOI 10.1146/annurev.py.27.090189.001043).
 - (en) H.D. VanEtten, D.E. Matthews et D.A. Smith, « Metabolism of phytoalexins », dans Phytoalexins, , 334 p. (ISBN 0-216-91162-1), p. 1023–1028.
 - (en) H.D. VanEtten et S.G. Pueppke, « Isoflavonoid phytoalexins », dans Biochemical Aspects of Plant-Parasitic Relationships, vol. 13, , p. 239–89.
 - (en) A. Fuchs, F.W. de Vries et M. Platerno Sanz, « The mechanism of pisatin degradation by Fusarium oxysporum f. sp. pisi. », Physiological Plant Pathology, vol. 16, no 1, , p. 119–133 (DOI 10.1016/0048-4059(80)90025-9).
 - (en) de M. Sanz Platero et A. Fuchs, « Degradation of pisatin, an antimicrobial compound produced by Pisum sativum », Phytopathologia Mediterranea, vol. 17, , p. 14–17.
 - (en) L.M. Delserone et H.D. VanEtten, « Demethylation of pisatin by three fungal pathogens of Pisum sativum », Phytopathology, vol. 77, , p. 116 (Abstr..
 - (en) L.A. Wanner, D. Ware, I.E. Somssich et K.R. Davis, « The phenylalanine ammonia-lyase gene family in Arabidopsis thaliana », Plant Mol Biol, vol. 27, no 2, , p. 327–38 (DOI 10.1007/bf00020187).
 - (en) M. Mizutani, D. Ohta et R. Sato, « Isolation of a cDNA and a genomic clone encoding cinnamate 4-hydroxylase from Arabidopsis and its expression manner in planta », Plant Physiol, vol. 113, no 3, , p. 755–63 (DOI 10.1104/pp.113.3.755).
 - (en) R.B. Nair, K.L. Bastress, M.O. Ruegger, J.W. Denault et C. Chapple, « Arabidopsis thaliana reduced epidermal fluorescence 1 gene encodes an aldehyde dehydrogenase involved in ferulic acid and sinapic acid biosynthesis », Plant Cell, vol. 16, no 2, , p. 544–54 (DOI 10.1105/tpc.017509).
 - (en) J.Y. Joung, G.M. Kasthuri, J.Y. Park, W.J. Kang, H.S. Kim, B.S. Yoon et H. Joung, « An overexpression of chalcone reductase of Pueraria montana var. lobata alters biosynthesis of anthocyanin and 5'-deoxyflavonoids in transgenic tobacco », Biochem Biophys Res Commun, vol. 303, no 1, , p. 326–31 (DOI 10.1016/s0006-291x(03)00344-9).
 - (en) Y. Kimura, T. Aoki et S. Ayabe, « Chalcone isomerase isozymes with different substrate specificities towards 6'-hydroxy- and 6'-deoxychalcones in cultured cells of Glycyrrhiza echinata, a leguminous plant producing 5-deoxyflavonoids », Plant Cell Physiol, vol. 42, no 10, , p. 1169–73 (DOI 10.1093/pcp/pce130).
 - (en) B.G. Kim, S.Y. Kim, H.S. Song, C. Lee, H.G. Hur, S.I. Kim et J.H. Ahn, « Cloning and expression of the isoflavone synthase gene (IFS-Tp) from Trifolium pratense », Mol Cells, vol. 15, no 3, , p. 301–6.
 - (en) E. Pichersky et D.R. Gang, « Genetics and biochemistry of secondary metabolites in plants: an evolutionary perspective », Trends in Plant Science, vol. 5, , p. 439–445 (DOI 10.1016/s1360-1385(00)01741-6)
 - (en) P.M. Dewick, « The flavonoids: Advances in research since 1986 », Isoflavonoids, , p. 117–238
 - (en) H. Wengenmayer, J. Ebel et H. Grisebach, « Purification and properties of a S-adenosylmethionine: isoflavone 4′-O-methyltransferase from cell suspension cultures of Cicer arietinum L », Eur. J. Biochem., vol. 50, , p. 135–143 (DOI 10.1111/j.1432-1033.1974.tb03881.x).
 - (en) S. Clemens, W. Hinderer, U. Wittkampg et W. Barz, « Characterization of cytochrome P450-dependent isoflavone hydroxylase from chickpea », Phytochemistry, vol. 32, no 3, , p. 653–657 (DOI 10.1016/s0031-9422(00)95150-1).
 - (en) C.J. Liu, D. Huhman, L.W. Sumner et R.A. Dixon, « Regiospecific hydroxylation of isoflavones by cytochrome p450 81E enzymes from Medicago truncatula », Plant J., vol. 36, no 4, , p. 471–484 (DOI 10.1046/j.1365-313x.2003.01893.x).
 - (en) Paiva, Y. Sun, R.A. Dixon, H.D. Van Etten et G. Hrazdina, « Molecular cloning of isoflavone reductase from pea (Pisum sativum L.): evidence for a 3R-isoflavanone intermediate in (+)-pisatin biosynthesis », Arch. Biochem. Biophys., vol. 312, , p. 501–510 (DOI 10.1006/abbi.1994.1338).
 - (en) W. Bless et W. Barz, « Isolation of pterocarpan synthase, the terminal enzyme of pterocarpan phytoalexin biosynthesis in cell suspension cultures of Cicer arietinum », FEBS Letters, vol. 235, no 1, , p. 47–50 (DOI 10.1016/0014-5793(88)81231-6).
 - (en) N. Guo, R.A. Dixon et N.L. Paiva, « The pterocarpan synthase of alfalfa: association and co-induction of vestitone reductase and 7,2′-dihydroxy-4′-methoxy-isoflavanol (DMI) dehydratase, the two final enzymes in medicarpin biosynthesis », FEBS Lett., vol. 356, , p. 221–225 (DOI 10.1016/0014-5793(94)01267-9).
 - (en) D.E. Matthews, E.J. Weiner, P.S. Matthews et H.D. VanEtten, « Role of oxygenases in pisatin biosynthesis and in the fungal degradation of maackiain », Plant Physiology, vol. 83, , p. 365–370 (DOI 10.1104/pp.83.2.365).
 - (en) Q. Wu, C.L. Preisig et H.D. VanEtten, « Isolation of the cDNAs encoding (+)6a-hydroxymaackiain 3-O-methyltransferase, the terminal step for the synthesis of the phytoalexin pisatin in Pisum satium. », Plant Mol. Biol., vol. 35, , p. 551–560
 - (en) Caspi, « The MetaCyc database of metabolic pathways and enzymes and the BioCyc collection of Pathway/Genome Databases », Nucleic Acids Research, vol. 42, , D459-D471 (DOI 10.1093/nar/gkt1103).
 
- Portail de la chimie
 - Portail de l’agriculture et l’agronomie
 - Portail de la botanique
 - Portail de la protection des cultures
 
