Noradrénaline
La noradrénaline ou norépinéphrine est un composé organique qui joue le rôle d'hormone adrénergique et de neurotransmetteur. C'est une catécholamine comme la dopamine ou l'adrénaline.
| Noradrénaline | ||
| ||
| ||
| Structure chimique de la noradrénaline. | ||
| Identification | ||
|---|---|---|
| Nom UICPA | 4-[(1R)-2-amino-1-hydroxyéthyl]benzène-1,2-diol | |
| No CAS | (L) (DL) |
|
| No ECHA | 100.000.088 | |
| No CE | 200-096-6 | |
| Code ATC | C01 | |
| DrugBank | APRD00457 | |
| PubChem | 26934 | |
| SMILES | ||
| InChI | ||
| Propriétés chimiques | ||
| Formule | C8H11NO3 [Isomères] |
|
| Masse molaire[1] | 169,177 8 ± 0,008 3 g/mol C 56,8 %, H 6,55 %, N 8,28 %, O 28,37 %, |
|
| pKa | 8.58 | |
| Propriétés physiques | ||
| T° fusion | 217 °C (décomposition) | |
| Précautions | ||
| Directive 67/548/EEC | ||
![]() T+ |
||
| Transport | ||
| Données pharmacocinétiques | ||
| Demi-vie d’élim. | 2,1 à 3,4 min | |
| Excrétion | ||
| Considérations thérapeutiques | ||
| Classe thérapeutique | Sympathomimétique | |
| Voie d’administration | injection intraveineuse | |
| Caractère psychotrope | ||
| Autres dénominations |
Norépinéphrine |
|
| Composés apparentés | ||
| Autres composés | ||
| Unités du SI et CNTP, sauf indication contraire. | ||
Elle est principalement libérée au niveau du tronc cérébral et par les fibres nerveuses du système nerveux orthosympathique (ou sympathique) et agit comme neurotransmetteur au niveau des organes effecteurs. Elle est également le précurseur métabolique de l'adrénaline (NOR signifiant Nitrogen ohne Radikal en allemand, littéralement azote sans radical ou azote libre).
Elle est aussi libérée en faible quantité (20 %)[3],[4] par les médullosurrénales et agit comme hormone. Elle joue alors un rôle dans l'excitation, l'orientation de nouveaux stimuli, l'attention sélective, la vigilance, les émotions, le réveil et le sommeil, le rêve et les cauchemars, l'apprentissage et le renforcement de certains circuits de la mémoire impliquant un stress chronique[5].
Que ce soit en tant qu'hormone ou neurotransmetteur, la noradrénaline agit sur les mêmes récepteurs, dits récepteurs adrénergiques alpha et bêta, tous couplés aux protéines G trimériques.
Localisation
Neuronale
Les neurones noradrénergiques se retrouvent au niveau du système nerveux central et du système nerveux périphérique.


Au niveau central, les corps cellulaires des neurones noradrénergiques[6] sont situés dans 7 groupes A1-A7, du tronc cérébral (bulbe et pont) :
- le groupe A6 ou locus cœruleus est la structure noradrénergique la plus dense. Situé dans la partie dorsale du pont, à la jonction ponto-mésencéphalique, ce groupe donne naissance à la voie ascendante dorsale qui se projette sur les noyaux du raphé, le thalamus, l'hypothalamus, le néocortex, l'hippocampe et le cervelet. De ce groupe part aussi une voie descendante constituant une partie des neurones vasomoteurs présympathiques qui innervent les neurones préganglionnaires sympathiques.
Les neurones noradrénergiques du locus cœruleus ont une décharge tonique (continue) durant l'éveil[7], ils diminuent leur activité au cours du sommeil lent et sont silencieux pendant le sommeil paradoxal.
- le groupe A1 du bulbe rachidien, nommé le noyau caudal ventro-latéral (area caudalis superficialis ventrolateralis, CVLM), il comprend des neurones noradrénergiques innervant le groupe noradrénergique A2 et le groupe adrénergique C1 où ils exercent une inhibition continue de l'activité des neurones vasomoteurs présympathiques.
- le groupe A2, situé dans le noyau du faisceau solitaire (NTS), est constitué d'interneurones noradrénergiques. Ce noyau est situé dans la zone dorsomédiale du bulbe, là où se terminent les fibres sensibles du nerf vague (X) et du nerf glosso-pharyngien (IX) et toutes les fibres gustatives primaires.
- les groupes A3, A4 et A7 rassemblent des corps cellulaires dont les axones se projettent sur le noyau moteur du nerf vague, le noyau du faisceau solitaire, la substance grise péri-aqueducale et l'hypothalamus.
Au niveau périphérique, les fibres postganglionnaires sympathiques produisent de la noradrénaline. Le système nerveux sympathique fonctionne sur un modèle à deux neurones : un neurone préganglionnaire (dont le corps cellulaire est localisé dans la moelle épinière) fait synapse sur un neurone post-ganglionnaire (dont le corps cellulaire est localisé dans un ganglion) qui lui-même innerve le tissu cible. Le neurone préganglionnaire est acétylcholinergique, le postganglionnaire est noradrénergique. La libération de noradrénaline par ces neurones est accompagnée de plusieurs co-médiateurs, ATP et neuropeptides.
Médullosurrénale
La noradrénaline est sécrétée au niveau des glandes surrénales et libérée dans la circulation générale, où elle peut être responsable de la décharge d'adrénaline, en cas de stress ou d'effort intense.
Métabolisme de la noradrénaline


La noradrénaline et l'adrénaline sont liées par leurs voies de synthèse et de dégradation. Elles sont l'une comme l'autre produites par des neurones et libérées dans la fente synaptique pour agir en tant que neurotransmetteur. Mais elles sont aussi synthétisées par les cellules chromaffines des glandes médullosurrénales et sécrétées dans la circulation sanguine pour agir en tant qu'hormone.
Biosynthèse
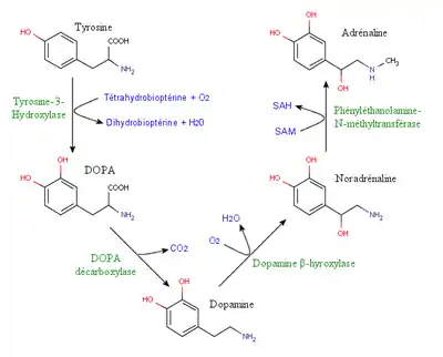
La voie de synthèse commence par un acide aminé, la l-tyrosine, qui peut provenir du milieu extracellulaire et avoir pénétré dans le cytoplasme grâce à un transporteur. La tyrosine peut aussi avoir été synthétisée dans la cellule à partir de la phénylalanine[8].
Cette voie de biosynthèse[6] est commune aux catécholamines, dopamine, noradrénaline et adrénaline.
La première étape, l'hydroxylation de la tyrosine en L-DOPA, est assurée par une enzyme cytoplasmique, la tyrosine hydroxylase (TH). C'est une étape limitante de la biosynthèse car l'enzyme est rapidement saturée. La seconde étape est la décarboxylation de la L-DOPA en dopamine, assurée par la DOPA-décarboxylase. Cette enzyme est non spécifique, à la différence de la TH, puisqu'elle peut catalyser la décarboxylation des autres acides aminés aromatiques. La dopamine est concentrée dans des granules (via un transporteur VMAT, vesicular monoamine transporter) avant d'être hydroxylée en noradrénaline par la dopamine hydroxylase. La presque totalité de la noradrénaline des neurones ou des cellules chromaffines est contenue dans des vésicules. À l'arrivée d'un potentiel d'action et à l'entrée des ions Ca++ en résultant, les vésicules synaptiques libèrent leur contenu en noradrénaline et dopamine hydroxylase dans la fente synaptique. La norédraline peut alors :
- se lier aux récepteurs postsynaptiques alpha1 et bêta et contribuer à la transduction du signal neuronal ;
- être recaptée au niveau présynaptique par un transporteur membranaire sélectif NET (norepinephrine transporter), pour être recyclé dans le neurone noradrénergique ;
- être captée par un récepteur alpha2 par des cellules non neuronales, notamment sur les cellules musculaires lisses vasculaires.
Dégradation
Après son recaptage présynaptique par un transporteur NET, la noradrénaline est soit scindée par la mono-amine-oxydase MAO mitochondriale soit restockée dans une vésicule[9]. La noradrénaline libérée dans la fente synaptique peut aussi être dégradée par la catéchol-O-méthyl transférase COMT.
Deux enzymes dégradent la noradrénaline : les COMT (Cathécol O-Méthyl Transférase) et les MAO-A (MonoAmine Oxydase-A).
Les premières créent un éther méthylique sur l'hydroxyle en méta de la chaîne carbonée, tandis que les secondes pratiquent une oxydation de la fonction amine en aldéhyde pouvant être transformée en alcool (réductase) ou en acide carboxylique (déshydrogénase). Ces métabolites peuvent être :
- le HVA (HomoVanilic Acid) acide homovanillique ;
- le VMA (VanylMandelic Acid) acide vanillylmandélique ;
- le MHPE (3-Méthoxy-4-HydroxyPhényléthanol) ;
- le MHPG ou MOPEG (3-méthoxy-4-hydroxyphényléthylène glycol).
On pourra doser ces métabolites dans le sang si l'on suspecte une phénylcétonurie ou une tumeur sécrétant des catécholamines.
HVA
VMA
MHPE
MHPG/MOPEG
Pharmacologie
Tout comme l'adrénaline, la noradrénaline est un ligand des récepteurs α-adrénergiques et β-adrénergiques. La noradrénaline a une affinité inférieure pour tous les types de récepteurs. À forte dose, la noradrénaline possède un effet β, tandis qu'à faible dose, elle possède un effet α.
Usage en médecine
La noradrénaline est commercialisée sous différents laboratoires : Aguettant 2 mg·mL-1 ; Merck ; Renaudin[10].
La noradrénaline en perfusion continue est le médicament de choix pour les états de choc[11].
Psychologie sociale/différentielle
Dans le modèle de recherche de sensation de Zuckerman, la noradrénaline serait liée à un comportement d'éveil et au neuroticisme sans pour autant favoriser la recherche de sensation[12].
Notes et références
- Masse molaire calculée d’après « Atomic weights of the elements 2007 », sur www.chem.qmul.ac.uk.
- Entrée « Noradrenaline » dans la base de données de produits chimiques GESTIS de la IFA (organisme allemand responsable de la sécurité et de la santé au travail) (allemand, anglais), accès le 31 mars 2009 (JavaScript nécessaire)
- Marieb, Elaine Nicpon, 1936-, Dubé, Sophie,, Desbiens, Annie, et Dupont, Sylvie,, Anatomie et physiologie humaines, (ISBN 978-2-7613-9939-5, 2-7613-9939-0 et 978-2-7613-9531-1, OCLC 1102435248, lire en ligne)
- D. T. Krieger, « Brain peptides: what, where, and why? », Science (New York, N.Y.), vol. 222, no 4627, , p. 975–985 (ISSN 0036-8075, PMID 6139875, lire en ligne, consulté le ).
- Southwick SM, Bremner JD, Rasmusson A, Morgan CA, Arnsten A, Charney DS. Role of norepinephrine in the pathophysiology and treatment of posttraumatic stress disorder ; Biol Psychiatry 1999, 46: 1192-1204 (résumé.
- Yves Landry et Jean-Pierre Gies, Pharmacologie Des cibles vers l'indication thérapeutique, Dunod, 2009 (2e édition).
- ASTON-JONES G., BLOOM F.E., « Activity of norepinephrine-containing locus cœruleus neurons in behaving rats anticipates fluctuations in the sleep-waking cycle », J of Neurosci., vol. 1, , p. 876-900.
- (es) Ruiz Mitjana, L., « Noradrenalina (neurotransmisor): qué es, funciones y características », sur MedSalud
- C.P. Page, M.J. Curtis, M.C. Sutter, M.J. Walker, B.B. Hoffman, Pharmacologie intégrée, De Boeck, .
- « VIDAL : Base de données médicamenteuse pour les prescipteurs libéraux », sur VIDAL (consulté le ).
- (en) Vincent JL, De Backer D, « Circulatory shock » N Engl J Med. 2013;369:1726-34.
- (en) « CAS – Central Authentication Service », sur www.cairn.info.docelec.u-bordeaux.fr (consulté le )
Voir aussi
Articles connexes
Liens externes
- Ressources relatives à la santé :
- Notices dans des dictionnaires ou encyclopédies généralistes :
- Portail de la médecine
- Portail de la pharmacie
- Portail de la chimie
- Portail de la biochimie
- Portail des neurosciences



