Graphe simple
Un graphe simple est un graphe où il n'existe qu'une seule arête par paire de sommets, par opposition aux multigraphes[1],[2]. Il peut être orienté ou non-orienté.
Graphe simple non orienté
    

Un graphe simple non-orienté
Un graphe simple non orienté est un couple où :
- est un ensemble non vide (les sommets du graphe), et
 - est un ensemble de parties de à deux éléments (les arêtes du graphes).
 
Graphe simple orienté
    

Un graphe simple orienté
Un graphe simple orienté est un couple où :
- est un ensemble non vide (les sommets du graphe), et
 - est une partie du produit cartésien (les arcs du graphe).
 
Exemples
    
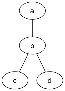
    Exemple de graphe simple non orienté
    
Le schéma ci-contre représente un graphe non-orienté, composé de :
- 4 sommets
 - 3 arêtes
 
Les sommets ont respectivement les degrés 1, 3, 1, 1.
- Le degré de b:
 
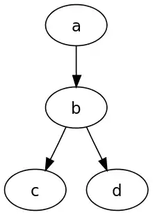
Exemple de graphe simple orienté
    
Le schéma ci-contre représente un graphe orienté, composé de :
- 4 sommets
 - 3 arcs
 
- Les degrés entrant dans sont respectivement 0,1,1,1
 - Les degrés sortant de sont respectivement 1,2,0,0
 
Ce graphe est un graphe orienté acyclique.
Voir aussi
    
    
Notes et références
    
- Jean-Claude Fournier, Théorie des graphes et applications : avec exercices et problèmes, Lavoisier, , 332 p. (ISBN 978-2-7462-3215-0, lire en ligne), p. 21
 - Irène Larramendy Valverde et Alain Marie-Jeanne, Introduction à la théorie des graphes : Cours et exercices corrigés, Ellipses, , 240 p. (ISBN 978-2-3400-2844-9, lire en ligne), p. 5
 
- Portail des mathématiques
 - Portail de l'informatique théorique
 
    Cet article est issu de Wikipedia. Le texte est sous licence Creative Commons – Attribution – Partage à l’identique. Des conditions supplémentaires peuvent s’appliquer aux fichiers multimédias.