Durée du jour
La durée du jour (ou longueur du jour), au sens strict, est le temps compris chaque jour entre le moment où le limbe supérieur du Soleil apparaît au-dessus de l'horizon, au lever de soleil, jusqu'à sa disparition en dessous, lors du coucher de soleil. Il s'agit de la période s'étendant entre l'aube et le crépuscule.


Au sens large, la durée du jour ou durée de la journée ou durée du jour solaire, est la durée cumulée d'un jour et d'une nuit consécutifs et correspond à la durée d'une rotation complète de la Terre sur elle-même par rapport à un point géographique donné, soit en moyenne 86 400 secondes.
La durée du jour varie en fonction de la période de l'année, elle peut être décrite par une fonction périodique. À l'échelle des temps géologiques elle a augmenté en raison du freinage de la rotation terrestre par l'attraction lunaire (via les marées), depuis une valeur initiale estimée à 6 heures jusqu'aux 24 heures actuelles, et continue d'augmenter au rythme d'environ 20 µs/an (ce qui n’est plus vrai actuellement, en 2023, où la durée du jour diminue).
Solstice terrestre
Dans l'hémisphère nord de la Terre, entre le solstice d'été qui a lieu généralement vers le et le solstice d'hiver qui a lieu généralement vers le , la durée du jour diminue quotidiennement. Au contraire, entre le solstice d'hiver et le solstice d'été, la durée du jour augmente quotidiennement. C'est l'inverse dans l'hémisphère sud.
Le temps écoulé entre deux solstices successifs est de six mois.
La différence de durée du jour varie de quelques minutes chaque jour, réparties de façon à peu près équilibrée entre le lever et le coucher du Soleil. Cependant, le créneau de la journée pendant lequel le Soleil est visible se décale légèrement au voisinage des solstices, entre mi-décembre et début janvier ainsi qu'entre mi-juin et début juillet ; si bien que pendant ces périodes, le faible raccourcissement puis rallongement (ou l'inverse) de la durée de visibilité du Soleil ne se fait pas par des variations symétriques des heures de lever et de coucher de l'astre solaire[1].
Durée du jour terrestre au sens strict

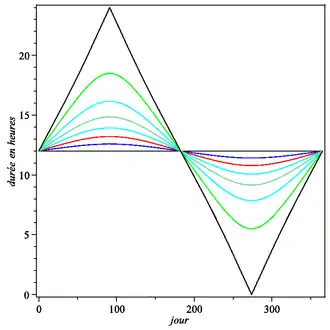
D'une façon générale, la durée du jour au sens strict (entre lever et coucher du Soleil) varie tout au long d'une année et dépend de la latitude. Cette variation est provoquée par l'inclinaison de l'axe de rotation de la Terre par rapport au plan de l'écliptique. Elle est au plus court lors du solstice de décembre dans l'hémisphère nord et de juin dans l'hémisphère sud, au plus long lors de celui de juin dans l'hémisphère nord et de décembre dans l'hémisphère sud ; lors des équinoxes, la durée du jour est en moyenne de 12 heures sur toute la Terre.
La définition du coucher du Soleil pris en compte est variable[2] :
- crépuscule standard : Soleil à 0° sous l'horizon (le haut du disque est tangent à l'horizon) ;
- crépuscule civil : Soleil à 6° sous l'horizon ;
- crépuscule nautique : Soleil à 12° sous l'horizon ;
- crépuscule astronomique : Soleil à 18° sous l'horizon.
Les périodes crépusculaires (aube et crépuscule) n'entrent pas en compte pour la mesure de la durée du jour.
La durée de ces trois périodes : 0°- 6° ; 6°-12° ; 12°-18°, dépend de la pente de l'orbite apparente, et donc de la latitude du lieu et de la saison. Le crépuscule près de l'équateur dure "civilement" 20 minutes, "nautiquement" 45 minutes et "astronomiquement" 70 minutes. Au 50e parallèle, les trois périodes durent environ 2 heures, tant que la fin astronomique est atteinte, car pendant les courtes nuits autour du solstice d'été, la soirée se transforme en crépuscule du matin.
Calcul de la durée du jour terrestre au sens strict
La durée du jour D (en heures) en un lieu terrestre peut être approchée par la formule suivante[3] :
avec :
- λ : latitude du site considéré ;
- δ : angle parcouru par la Terre sur son orbite depuis sa position à l'équinoxe de printemps ;
- α : latitude des tropiques, 23° 26′.
Durée du jour suivant les jours de l'année et les lieux
Conséquence de l'inclinaison de l'axe de rotation de la Terre sur le plan de l'écliptique, la durée du jour varie tout au long de l'année pour un lieu donné et diffère en fonction de la latitude des lieux. Seuls les endroits situées sur l'équateur ont, en permanence, un jour d'environ 12 heures.
Les points d'un même parallèle ont, chaque jour, la même durée de jour, le Soleil se levant et couchant plus tardivement, sur le lieu le plus occidental, avec un décalage correspondant à la différence de longitude[4].
Hémisphère Nord
Au pôle Nord, le Soleil ne se lève pas entre les équinoxes d'automne et de printemps. Au 80e degré de latitude (près du Svalbard), la nuit est permanente du 17 octobre au 22 février[5], et le jour permanent du 15 avril au 24 août[5],[6].
Au 70e degré de latitude (près du cap Nord), la nuit est permanente du 18 novembre au 18 janvier[5], et le jour permanent du 18 mai au 20 juillet[5],[6].
Sur le cercle polaire arctique, il y a un seul jour dans l'année durant lequel le Soleil ne se lève pas : le 21 décembre, jour du solstice d'hiver.
Suivant la période de l'année, l'amplitude du jour ne va pas systématiquement en croissant quand on se rapproche de l'équateur. Si cela est vrai de l'équinoxe d'automne à celle de printemps[7], c'est l'inverse qui se produit le reste de l'année[8], les deux jours d'équinoxes ayant, quant à eux, la même durée de jour (et de nuit), 12 heures par définition, quel que soit le lieu.
Sur deux lieux distants d'un même méridien, le Soleil de décembre se lève plus tôt au sud qu'au nord[9], et se couche plus tard[10]; à l'inverse, en juin, c'est au nord que le Soleil apparaît en premier[11], et qu'il se couche en dernier[12]. Les jours d'équinoxe se caractérisent par les mêmes heures de lever et coucher du Soleil pour tous les points d'un même méridien.
Hémisphère Sud
Il faut transposer le constat précédent.
Durée du jour terrestre au sens large
Au sens large, la durée du jour solaire est le temps que semble mettre le Soleil pour faire un tour autour de la Terre. Autrement dit, le jour solaire est le temps séparant deux passages consécutifs du Soleil au méridien d'un lieu. Cette durée combine la rotation de la Terre sur elle-même (jour stellaire ou jour sidéral) et le déplacement de la Terre sur son orbite dans sa révolution autour du Soleil.
La durée moyenne du jour solaire était par définition de 86 400 secondes exactement, tant que la seconde était définie comme un 86400e du jour solaire moyen ; mais la durée réelle d'un jour solaire varie tout au long de l'année, du fait de l'inclinaison par rapport à l'équateur de la trajectoire annuelle apparente du Soleil et de la légère excentricité de l'orbite de la Terre autour du Soleil. Ainsi, aux alentours du , la durée d'un jour solaire est minimale à environ 86 379 secondes (23 h 59 min 39 s) ; alors qu'aux alentours du , elle atteint un maximum à environ 86 430 secondes (24 h 0 min 30 s)[réf. nécessaire].
Variation à long terme de la durée du jour solaire terrestre
À cause de la Lune et de la dissipation d'énergie que constituent les marées, la vitesse de rotation de la Terre sur elle-même diminue. La durée du jour augmente donc, au rythme d'environ deux millisecondes par siècle. De ce fait, au temps des dinosaures, il y a cent millions d'années, l'année durait trois cent quatre-vingts jours (de vingt-trois heures). La Lune s'éloignant de la Terre, cet effet d'allongement des jours (environ vingt-cinq secondes par million d'années, au Carbonifère) est de moins en moins rapide car la force de marée exercée par la Lune sur la Terre est inversement proportionnelle au cube de la distance qui les sépare.
À la fin du XVIIe siècle, Edmond Halley réalise une série de calculs pour retrouver les éclipses anciennes répertoriées dans la littérature. Il remarque que ses prédictions des trajectoires des éclipses sont décalées par rapport aux années de leur apparition. En 1695, il émet l'hypothèse que le mouvement moyen de la Lune devient plus rapide (ce qui n'est pas faux pour le mouvement apparent). En réalité, ce mouvement ralentit, car il se compose avec le ralentissement de la rotation diurne dû aux marées, et avec l'augmentation du rayon de l'orbite de la Lune qui en résulte (deux faits inconnus de Halley et de ses contemporains[13]).
L'évolution de la durée du jour solaire (durée d'une rotation de la terre sur elle-même) au cours des époques géologiques a été vérifiée expérimentalement au XXe siècle en comptant les cercles de croissance des coraux fossiles. Les coraux ont une croissance liée à l'éclairement diurne (formation du squelette calcaire uniquement le jour), mensuelle (coraux soumis aux marées) et annuelle (épaisseur des lignes de croissance différentes l'été et l'hiver). Il est ainsi possible de déterminer le nombre de jours par an aux époques géologiques, comme pour les Rugosa, coraux du Dévonien datés par radiochronologie[14] de quatre cents millions d'années, qui montrent environ quatre cent dix lignes de croissance annuelles contre trois cent soixante-cinq pour les coraux actuels[15]. Sur d'autres coraux du Dévonien sont identifiées des bandes mensuelles équivalant aux intervalles entre les phases de pleine lune et correspondant à treize mois lunaires par année dévonienne de trois cent quatre-vingt-dix-neuf jours[16]. Des résultats similaires sont trouvés sur des stromatolithes[17].
| Date | Période géologique | Nombre de jours par an[18] | Durée du jour[19] | |
|---|---|---|---|---|
| Formation de la Terre | −4 500 Ma | Hadéen | 1434 | 6,1 h |
| −2 500 Ma | Archéen | 714 | 12,3 h | |
| −1 200 Ma | Sténien | 493,2 | 17,7 h | |
| −500 Ma | Cambrien | 425 | 20,5 h | |
| −400 Ma | Silurien | 410 | 21,5 h | |
| −300 Ma | Carbonifère | 400 | 22 h | |
| −200 Ma | Jurassique | 390 | 22,5 h | |
| −100 Ma | Crétacé | 380 | 23 h | |
| Présent | 0 Ma | 365 | 24 h | |
| Futur | + ??? Ma | 350 | 25 h | |
La vitesse de variation de la durée du jour n'est pas constante, en réponse à l'évolution de la répartition des masses océaniques et à celle des paramètres astronomiques. En 2023, une revue des contraintes observationnelles sur la durée du jour au Précambrien montre qu'elle est restée voisine de 19 h pendant environ un milliard d'années incluant le Mésoprotérozoïque, sans doute en raison d'une résonance entre les marées lunaire et solaire. Cette période se confond avec le « Milliard ennuyeux », caractérisé par un fort ralentissement de l'évolution biologique[20],[21]. D'autres résonance ont au contraire augmenté la dissipation, décélérant plus rapidement la rotation de la Terre et augmentant plus rapidement la durée du jour et la distance Terre-Lune[22], notamment vers 300 et 540 Ma[23].
Durée du jour sur les planètes du système solaire
Un principe d'isochronisme relatif à la rotation des planètes du Système solaire[24] suggère que celles-ci ont toutes eu une période initiale de rotation comprise entre six et huit heures[25].
La durée du jour actuelle sur les différentes planètes du Système solaire sont, exprimées en heures et jours terrestres[26] :
Notes et références
- « La nuit tombe déjà plus tard », sur leparisien.fr, (consulté le ).
- « Calendrier solaire de pour Paris »(Archive.org • Wikiwix • Archive.is • Google • Que faire ?), sur ephemeride.com (consulté le ).
- Xavier Hubaut, « Le Jour et la Nuit », Université libre de Bruxelles.
- Exemple pour Sélestat et Brest (3° d'écart en longitude), un 21 décembre : levers à 8h18 et 9h06 ; couchers à 16h38 et 17h25. La durée du jour est de 8h20.
- Dates approximatives
- « Combien dure un jour », sur Pourquoi Comment Combien, (consulté le )
- Exemple pour Dunkerque et Villefranche-de-Conflent (8,5° d'écart de latitude), un 21 décembre : 7h54 contre 9h03.
- Pour Dunkerque et Villefranche-de-Conflent, un 21 juin : 16h34 contre 15h19.
- 8h17 à Villefranche contre 8h51 à Dunkerque, un 21 décembre.
- 17h20 contre 16h45.
- 5h35 à Dunkerque contre 6h12 à Villefranche-de-Conflent
- 22h09 contre 21h31.
- (en) F. Richard Stephenson, Historical Eclipses and Earth's Rotation, Cambridge University Press, , 573 p..
- (en) John West Wells, « Coral growth and geochronometry », Nature, vol. 197, , p. 948-950.
- (en) S.K. Runcorn (en), « Corals as paleontological clocks », Scientific American, vol. 215, , p. 26–33.
- (en) Colin T. Scrutton, « Periodicity in Devonian Coral Growth », Paleontology, vol. 7, , p. 552-558.
- (en) K.J. McNamara et S.M. Awramik (en), « Stromatolites : A key to understanding the early evolution of life », Sci. Progress, vol. 76, , p. 345.
- « Paléo-Astronomie », sur adsabs.harvard.edu, J.Kovalesky Bureau des Longitudes.
- (en) Arbab Ibrahim Arbab, « The Length of the Day : A Cosmological Perspective », Progress in Physics (en), vol. 1, , p. 8-9 (Bibcode 2009PrPh....5a...8A, lire en ligne).
- Nicolas Butor, « Quand les jours ne duraient que dix-neuf heures », Pour la science, no 551, , p. 8.
- (en) Ross N. Mitchell et Uwe Kirscher, « Mid-Proterozoic day length stalled by tidal resonance », Nature Geoscience, vol. 16, , p. 567-569 (DOI 10.1038/s41561-023-01202-6
). - (en) Mohammad Farhat, Pierre Auclair-Desrotour, Gwenaël Boué et Jacques Laskar, « The resonant tidal evolution of the Earth-Moon distance », Astronomy & Astrophysics, vol. 665, , article no L1 (DOI 10.1051/0004-6361/202243445
). - (en) Christian Zeeden, Jacques Laskar, David De Vleeschouwer, Damien Pas et Anne-Christine Da Silva, « Earth's rotation and Earth-Moon distance in the Devonian derived from multiple geological records », Earth and Planetary Science Letters, vol. 621, , article no 118348 (DOI 10.1016/j.epsl.2023.118348
). - (en) Alfven et G. Arrhenius, Evolution of the solar system, NASA, Washington, USA, .
- (en) L.V. Ksanfomality, « Possible emergence and evolution of life are restricted by characteristics of the Planet », Astrophys. Space Sci., vol. 252, , p. 41.
- (en) Enchanted Learning.com .
Voir aussi
Articles connexes
Liens externes
- Portail de l’astronomie
- Portail du temps