Dodécénoyl-coenzyme A isomérase
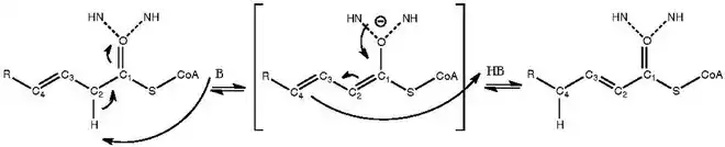
La dodécénoyl-CoA isomérase, également appelée 3,2-trans-énoyl-CoA isomérase, est une isomérase qui catalyse la conversion de doubles liaisons cis ou trans d'acides gras sur l'atome de carbone no 3 en une double liaison trans en position 2 (carbone β). Elle joue un rôle important dans la dégradation des acides gras insaturés.
Notes et références
    
- Portail de la biochimie
 
    Cet article est issu de Wikipedia. Le texte est sous licence Creative Commons – Attribution – Partage à l’identique. Des conditions supplémentaires peuvent s’appliquer aux fichiers multimédias.
