Cathinone
La cathinone ou β-kéto-amphétamine est un alcaloïde sympathicomimétique provenant des feuilles du khat (Catha edulis), un arbuste africain, dont elle constitue le principe actif. Elle possède des caractéristiques proches de celles des amphétamines[2]. La cathinone est l'énantiomère S de la 2-aminopropiophénone.
| Cathinone | ||
  
    | ||
   | ||
| Structure de la cathinone. | ||
| Identification | ||
|---|---|---|
| Nom UICPA | (2S)-2-amino-1-phénylpropan-1-one | |
| No CAS | (L) ou S(–) | |
| No ECHA | 100.163.927 | |
| SMILES | ||
| InChI | ||
| Propriétés chimiques | ||
| Formule | C9H11NO  [Isomères] | 
|
| Masse molaire[1] | 149,189 7 ± 0,008 5 g/mol  C 72,46 %, H 7,43 %, N 9,39 %, O 10,72 %,  | 
|
| Unités du SI et CNTP, sauf indication contraire. | ||
La cathinone est le chef de file d'une famille de stimulants, les cathinones (qui sont une sous-famille des amphétamines), parmi lesquelles on peut citer la 3-méthylméthcathinone (3-MMC), la 4-méthyléthcathinone (4-MEC), le bupropion, la méthcathinone, la méthylènedioxypyrovalérone (MDPV), et la plus puissante des cathinones, l'alpha-PVP. Elle est également proche de l'amphétamine, de l'éphédrine et de la pseudoéphédrine. L'usage du khat constitue en Afrique de l'Est ainsi qu'au Yémen, un rituel social commun[3], comparable à celui du café, du thé, maté, maté de coca dans d'autres civilisations.
Chimie
    
La cathinone est une phényléthylamine, proche de l'amphétamine, dont elle ne diffère que par la présence d'un groupe cétone en position 1. C'est la amphétamine-1-one, ou bêta-kéto-amphétamine.
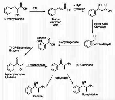
Dans la plante de khat, la biosynthèse de la cathinone s'opère à partir de phénylalanine.

Elle possède deux isomères (+) et (-) et seul ce dernier est présent dans la plante de Khat.
La cathinone est labile et fragile, elle se dégrade facilement en cathine, la (+)norpseudoéphédrine[4], c'est pourquoi les feuilles fraîches contiennent beaucoup plus de cathinone et sont beaucoup plus consommées.
Elle peut être synthétisée et est commercialisée de manière illicite sous forme de comprimés, vendus pour des propriétés excitantes et aphrodisiaques.
Pharmacologie
    
La cathinone a un mécanisme d'action semblable à l'amphétamine et des effets globalement similaires[5].
En se propageant dans le système nerveux central, elle active les neurones dopaminergique et sérotoninergique en purgeant ses réservoirs et bloquant la recapture de la dopamine et de la sérotonine, entraînant ainsi des taux compris entre 800 % et 920 % de dopamine et entre 130 % et 200 % de sérotonine dans les fentes synaptiques.
La libération massive de dopamine dans les fentes synaptiques des neurones procure un effet plaisir intense.
La libération massive de sérotonine agissant quant à elle sur le sentiment de renforcement du « bonheur » de l'individu.
Ces effets directs sur le cerveau entraînent plusieurs effets.
Effets
    
- Augmentation des facultés cérébrales notamment la concentration et la vigilance.
 - Euphorie et bien-être ; sentiment d'exubérance et d'invincibilité, de puissance physique et mentale.
 - Désinhibition.
 - Augmentation de l'endurance.
 - Sensation de plaisir, désir sexuel. Les cathinones sont notamment utilisées comme chemsexs (injectés par voie intraveineuse[6])[7].
 - Diminution de l’appétit et de la capacité à ressentir la fatigue.
 
Sa consommation n'est pas dénuée de dangers, en particulier avec des accidents cardiaques et neurologiques[8].
Notes et références
    
- Masse molaire calculée d’après « Atomic weights of the elements 2007 », sur www.chem.qmul.ac.uk.
 - Kalix P., Cathinone, a natural amphetamine, Pharmacol. Toxicol., 1992, 70:77-86.
 - Banque mondiale, Comprendre la dynamique du khat à Djibouti. Aspects sociaux, économiques et de santé, rapport no 62823 DJ, lire en ligne, sur documents.worldbank.org.
 - (en) Chappell J.S., « Cathinone preservation in khat evidence via drying », Forensic Science International, (lire en ligne).
 - (en) Widler P., Mathys K., Brenneisen R., Kalix P. et Fisch H.U., « Pharmacodynamics and pharmacokinetics of khat: a controlled study », Clin. Pharmacol. Ther., (lire en ligne).
 - Pratique appelée « slam » au sein des hommes ayant des rapports sexuels avec des hommes.
 - « Chemsex, Cyberaddiction sexuelle et Addiction sexuelle », sur hopital-marmottan.fr, .
 - Bentur Y., Bloom-Krasik A. et Raikhlin-Eisenkraft B., Illicit cathinone (Hagigat) poisoning, Clin. Toxicol., 2008, 46, 206-210.
 

