Antibiotique
Un antibiotique[1] (du grec anti : « contre », et bios : « la vie ») est une substance naturelle ou synthétique qui détruit ou bloque la croissance des bactéries. Dans le premier cas, on parle d'antibiotique bactéricide et dans le second cas d'antibiotique bactériostatique. Lorsque la substance est utilisée de manière externe pour tuer la bactérie par contact, on ne parle pas d'antibiotique mais d'antiseptique.

Un antibiotique peut être à la fois bactéricide et bactériostatique, selon sa dose.
Un grand nombre des antibiotiques existants sont constitués de molécules naturelles, fabriquées par des micro-organismes : des champignons ou d'autres bactéries. Ces dernières les produisent pour éliminer les bactéries concurrentes avec lesquelles elles sont en compétition dans leur biotope. Cependant, seul un petit nombre des antibiotiques naturels est utilisable en thérapeutique humaine, pour des raisons de disponibilité dans l'organisme ou d'effets indésirables. Un grand nombre de molécules aujourd'hui sur le marché sont des molécules de synthèse, dérivées ou non d'antibiotiques naturels, en particulier pour contourner les problèmes de résistance.
Les antibiotiques agissent de manière spécifique sur les bactéries, en bloquant une étape essentielle de leur développement : synthèse de leur paroi, de l'ADN, des protéines, ou la production d'énergie, etc.. Ce blocage se produit lorsque l'antibiotique se fixe sur sa cible, une molécule de la bactérie qui participe à l'un de ces processus métaboliques essentiels. Cette interaction entre l'antibiotique et sa cible est très sélective, spécifique des bactéries et ces composés ne sont en général actifs ni sur les champignons ni sur les virus. Il existe d'autres molécules actives sur ces autres types d'agents infectieux que l'on appelle des antimycosiques ou des antiviraux, distincts des antibiotiques.
L'introduction généralisée des antibiotiques après la Seconde Guerre mondiale a été l'un des progrès thérapeutiques les plus importants du XXe siècle. Les traitements antibiotiques ont fait progresser l'espérance de vie de plus de dix ans, soit plus qu'aucun autre traitement médical[2]. Cependant, l'usage généralisé, voire abusif de certains antibiotiques, y compris en traitement préventif, curatif ou en complément alimentaire dans l'alimentation animale, en pisciculture, en médecine vétérinaire et humaine, ou encore comme pesticides pour le traitement des végétaux (contre le feu bactérien par exemple) a introduit une pression de sélection qui a conduit au développement de populations de micro-organismes antibiorésistants et à une baisse générale de l'efficacité thérapeutique. En milieu hospitalier, ceci conduit à une augmentation du risque nosocomial, faute de traitement adapté contre certains germes particulièrement résistants.
Généralités
Définition
De manière simplifiée un antibiotique est, dans le domaine médical, « une substance chimique organique d’origine naturelle ou synthétique inhibant ou tuant les bactéries pathogènes à faible concentration et possédant une toxicité sélective ». Par toxicité sélective, on entend que celle-ci est spécifique des bactéries et que la molécule antibiotique n'affecte pas l'hôte infecté, au moins aux doses utilisées pour le traitement.
Plus généralement, pour les microbiologistes et les chimistes, un antibiotique est une substance anti-bactérienne[3].
Il a existé des variantes dans cette définition qui diffèrent par la présence ou non des concepts de toxicité sélective, d’origine microbienne et de limitation de cible aux seules bactéries.
Les antiseptiques ne sont pas des antibiotiques. Leur fonction est de tuer un maximum de germes (bactéries, champignons, virus), leur mode d'action n'est pas spécifique, ils ne s'utilisent que localement en application externe et mal employés (trop concentrés par exemple) ils peuvent provoquer des lésions et/ou retarder la cicatrisation.
Les antibiotiques ne sont généralement pas actifs contre les virus. Un produit luttant contre les virus est un antiviral. Toutefois, des études en cours tendent à démontrer une certaine efficacité de quelques antibiotiques dans des cas particuliers comme l'effet de la teicoplanine sur la maladie à virus Ebola[4].
Découverte

Le premier antibiotique identifié fut la pénicilline. Si dès la fin du XIXe siècle Ernest Duchesne découvrit les propriétés curatives de Penicillium glaucum, la découverte de la pénicilline est à mettre au crédit de Sir Alexander Fleming qui s’aperçut en 1928 que certaines de ses cultures bactériennes dans des boîtes oubliées avaient été contaminées par les expériences de son voisin de paillasse étudiant le champignon Penicillium notatum et que celui-ci inhibait leur reproduction. Mais l’importance de cette découverte, ses implications et ses utilisations médicales ne furent comprises et élaborées qu’après sa redécouverte, entre les deux grandes guerres notamment à la suite des travaux de Howard Walter Florey, Ernst Chain, et Norman Heatley (en) en 1939.

En 1932, Gerhard Domagk met au point chez Bayer AG le Prontosil, un sulfamidé, le premier antibiotique de synthèse. C’est toutefois la découverte subséquente, à l'Institut Pasteur, dans le laboratoire de chimie thérapeutique dirigé par Ernest Fourneau, des propriétés antibiotiques du sulfanilamide, agent actif du Prontosil, (découverte publiée en 1935 par Jacques et Thérèse Tréfouel, Federico Nitti et Daniel Bovet) qui ouvrira effectivement la voie à la sulfamidothérapie[5]. Ce premier antibiotique de synthèse a ouvert une voie nouvelle dans la lutte contre de nombreuses maladies qui étaient considérées comme incurables auparavant.
René Dubos isole en 1939 la tyrothricine (un mélange de tyrocidine et de gramicidine) à partir du Bacillus brevis dont il avait observé l’action antibactérienne. L’importance de cette découverte ne fut pas tant d’ordre thérapeutique que théorique : si la gramicidine fut effectivement le premier antibiotique commercialisé, son utilisation fut limitée à une application locale — en topique — ; toxique en intraveineuse, la gramicidine s’avéra en revanche très efficace pendant le second conflit mondial pour guérir les blessures et les ulcères. Comme Howard Florey lui-même devait le rappeler plus tard, la découverte de la gramicidine fut une étape déterminante en cela qu’elle encouragea les recherches autour des applications thérapeutiques de la pénicilline qui avaient souffert jusque-là de plusieurs déconvenues[6].
En 1944, Selman A. Waksman, Albert Schatz et E. Bugie découvrent la streptomycine, le premier antibiotique ayant un effet sur le bacille de Koch, rendant ainsi possible le traitement de la tuberculose. En 1952, commercialisation sous la marque Ilosone de l’érythromycine, premier macrolide connu, nouvellement isolée par J. M. McGuire, de la firme Eli Lilly. En 1956 est découverte la vancomycine. Suivent alors le développement des quinolones à partir de 1962 et leurs dérivés, les fluoroquinolones dans les années 1980.
Au début des années 1970, la recherche sur les antibiotiques se ralentit fortement, l'arsenal thérapeutique de l'époque permettant alors de traiter efficacement la plupart des infections bactériennes.
L'émergence des résistances de plus en plus nombreuses va modifier ce tableau et stimuler la reprise des travaux. En 2000, le linézolide (approuvé par la FDA le ) est mis sur le marché américain. Le linézolide correspond à une nouvelle classe de composés, les oxazolidinones. C'est la première fois en 20 ans qu'une nouvelle classe de composés antibiotiques est introduite dans la pharmacopée.
Globalement, en un demi-siècle, les antibiotiques ont augmenté de plus de dix ans l’espérance de vie de ceux qui y ont accès, soit plus qu'aucun autre traitement[2]. Comparativement, un médicament qui guérirait 100 % des cancers n’augmenterait l’espérance de vie que de cinq ans[réf. nécessaire].
Les antibiotiques ont en particulier fourni des traitements efficaces pour la plupart des grandes maladies infectieuses bactériennes. Combinés à la vaccination ils ont contribué à faire largement disparaître les grandes maladies épidémiques, au moins dans les pays développés : tuberculose, peste, lèpre, typhus, fièvre typhoïde... Ils sont également utilisés dans les cas de choléra en complément de la réhydratation des malades.
Le mode d’action des antibiotiques
Il existe plus de 10 000 molécules antibiotiques connues (voir liste d'antibiotiques), la plupart d'entre elles sont des produits naturels, synthétisés par des procaryotes, des champignons, des végétaux supérieurs, des animaux ou des lichens.
Le principe d'action des antibiotiques consiste à bloquer sélectivement une étape d'un mécanisme essentiel à la survie ou à la multiplication des micro-organismes. Le mécanisme ciblé par l'antibiotique est le plus souvent spécifique des bactéries et n'a pas d'équivalent chez les eucaryotes et en particulier chez l'humain. Ainsi, idéalement, l'antibiotique tue ou bloque la multiplication des bactéries mais n'a pas d'impact sur les cellules du patient traité. Il existe ainsi quelques grandes familles de mécanisme d'action pour les antibiotiques, ce qui permet de les regrouper en grandes classes décrites ci-après.
Inhibition de la synthèse de la paroi bactérienne

Certaines bactéries sont protégées de l'environnement extérieur par une paroi, qui doit croitre quand la bactérie se divise. Cette paroi contient en particulier une couche de peptidoglycane plus ou moins épaisse, un polymère spécifique comportant des acides aminés et des sucres. Il existe une machinerie de synthèse qui fabrique les composants de cette paroi et qui est composée d'enzymes et de systèmes de transport acheminant les composants à la surface cellulaire.
Il existe un ensemble d'antibiotiques qui bloquent différentes étapes de cette machinerie. Le blocage de la synthèse de la paroi fragilise fortement l'enveloppe externe des bactéries, qui deviennent très sensibles à des stress extérieurs (pression osmotique, température, stress mécanique) provoquant la lyse cellulaire. In vitro, on peut maintenir ces cellules sans paroi avec un stabilisant osmotique, on obtient alors un protoplaste.
Ces antibiotiques agissent sur des cibles extracellulaires. Ils n'ont donc pas besoin de pénétrer dans la cellule, ce qui les rend insensible aux mécanismes de résistance liés à la perméabilité ou à l'efflux (voir plus bas). En revanche, ils ne sont en général actifs que sur les germes en croissance. Les bactéries quiescentes (qui ne se divisent pas) ne sont pas perturbées par l’action de ces molécules, parce que le peptidoglycane n'est produit que lors de la croissance cellulaire, pour s'adapter à l'augmentation du volume précédant la division cellulaire.
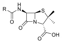
Les principaux antibiotiques ayant ce mode d'action correspondant à la famille appelée les Bêta-lactamines (pénicillines et céphalosporines)[7]. Ceux-ci agissent sur les enzymes de la machinerie de synthèse du peptidoglycane que l'on appelle pour cette raison les « protéines fixant la pénicilline » (penicillin binding proteins ou PBP).
La catégorie des antibiotiques inhibant la synthèse de la paroi bactérienne comprend entre autres :
- la bacitracine
- la teixobactine
- les pénicillines: amoxicilline
- les céphalosporines
- les glycopeptides comme la vancomycine
Action sur la membrane des cellules
L'existence d'une membrane plasmique intacte est nécessaire à la survie bactérienne. Son rôle est double, d'une part elle permet de séquestrer métabolites et ions nécessaires à l'intérieur du cytoplasme, d'autre part, elle permet de maintenir un gradient de protons entre l'intérieur et l'extérieur de la cellule, généré par la chaîne respiratoire et le cycle de Krebs et qui permet le stockage de l'énergie cellulaire. Ce gradient de protons alimente l'ATP synthase qui fabrique l'ATP. Toute perturbation de l'imperméabilité de la membrane rompt ces confinements, l'énergie chimiosmotique est dissipée et le contenu du cytoplasme fuit dans le milieu extracellulaire. Il existe un certain nombre de molécules antibiotiques qui agissent sur la membrane des cellules, soit en agissant comme des détergents qui désorganisent les lipides, soit en formant un pore (un trou) dans la membrane qui va permettre la fuite des composés cellulaires.
Parmi ces composés attaquant la membrane des cellules bactériennes, on trouve :
- la polymyxine qui est un surfactant (détergent) interagissant avec les lipides membranaires et qui désorganise la bicouche phospholipidique membranaire. Ceci détruit l’intégrité de la membrane, les éléments hydrosolubles sortent de la cellule. Cette molécule est efficace sur les cellules en croissance et au repos ;
- la gramicidine, un peptide qui s'insère dans la membrane en formant un pore cylindrique permettant la fuite des cations.
Inhibition de la synthèse des acides nucléiques

La synthèse des acides nucléiques, ADN et ARN est absolument vitale pour les cellules, sans elle, la division cellulaire et la fabrication des protéines est impossible. Un certain nombre de composés peuvent bloquer de manière directe ou indirecte ces voies de biosynthèse des acides nucléiques et ont en conséquence une activité antibiotique.
Chez les bactéries, le ou les chromosomes sont souvent circulaires et se trouvent dans un état topologique particulier caractérisé par un surenroulement négatif. Ce surenroulement négatif est essentiel à la réplication de l'ADN [et aussi à sa transcription en ARN messager (alias ARNm)] et constitue une caractéristique de l'ADN bactérien. C'est l'ADN gyrase qui introduit ce surenroulement négatif dans l'ADN. Cette enzyme, de la famille des topoisomérases est essentielle à la survie des bactéries, mais n'a pas d'équivalent chez les eucaryotes. Il existe des antibiotiques qui bloquent l'action de l'ADN gyrase, il s'agit des aminocoumarines et des quinolones[8]. Plus récemment, ces dernières ont été supplantées par les fluoroquinolones, molécules de synthèse permettant de contourner les mécanismes de résistance aux quinolones.
D'autres molécules bloquent la réplication de l'ADN en introduisant des pontages covalents entre des bases voisines, soit sur le même brin soit entre les deux brins de l'ADN. Ces pontages déforment l'ADN, peuvent empêcher l'ouverture des brins et bloquent l'action de différentes enzymes agissant sur l'ADN. Ceci a en particulier pour conséquence d'empêcher la progression de la fourche de réplication et du réplisome et rendent donc la réplication impossible.
Ces molécules, comme la mitomycine ou l'actinomycine, si elles ont bien une activité antibiotique sur les bactéries, ne sont pas utilisées comme telles chez l'humain car elles ne sont pas sélectives et agissent aussi sur l'ADN des cellules eucaryotes. Leur capacité à ponter également notre ADN bloque aussi la réplication de nos propres cellules, ce qui leur confère en plus des propriétés antimitotiques chez l'humain. Pour cette raison, on les a utilisées en chimiothérapie anticancéreuse.
Il existe enfin des inhibiteurs spécifiques de l'ARN polymérase bactérienne qui bloquent la transcription des gènes et la synthèse des ARN messagers. Parmi ces antibiotiques, on trouve en particulier la rifampicine qui est aujourd'hui utilisée en association avec d'autres antibiotiques pour le traitement de la tuberculose.
Inhibition de la synthèse protéique

La synthèse des protéines est un processus essentiel des cellules vivantes. L'acteur central de ce processus dans lequel l'ARN messager est traduit en protéine est le ribosome, l'organite cellulaire qui est responsable de cette étape. Les détails du mécanisme de traduction et les ribosomes des bactéries sont sensiblement différents de ceux des eucaryotes. Il existe un grand nombre de molécules antibiotiques qui exploitent ces différences et sont capables de bloquer sélectivement la traduction des protéines chez les bactéries, mais pas chez l'humain ou l'animal.
De fait, approximativement la moitié des antibiotiques utilisés en thérapeutique (disposant de l'AMM) ont pour cible le ribosome bactérien. Ces antibiotiques se répartissent en plusieurs classes, de nature chimique et de mode d'action différents. La plupart interagissent avec l'ARN ribosomique. Enfin, certains antibiotiques bloquent la traduction en inhibant l'action des facteurs de traduction associés au ribosome.
- Les aminoglycosides ou aminosides (exemples : streptomycine, gentamicine, amikacine) se fixent sur la petite sous-unité des ribosomes (30 Svedberg) au niveau du site du décodage des codons, empêchent la traduction de l’ARNm et conduisent à des erreurs de lecture.
- Les phénicols (exemples : chloramphénicol, thiamphénicol) bloquent la formation de la liaison peptidique. Ils se fixent sur la grande sous-unité du ribosome bactérien (50 Svedberg) mais pas sur celle des ribosomes eucaryotes.
- Les cyclines (exemples : tétracycline, doxycycline, auréomycine) : en se fixant sur la sous-unité (30 S), elles bloquent l’élongation de la chaîne polypeptidique.
- Les macrolides et kétolides (exemples : érythromycine, azithromycine) agissent sur la partie 50 S du ribosome et bloquent l’élongation de la chaîne polypeptidique.
- La puromycine mime l’extrémité d’un ARNt, prend sa place dans le ribosome et bloque l’élongation de la chaîne polypeptidique.
- L'acide fusidique bloque l'action du facteur de traduction EF-G qui permet la translocation (progression) du ribosome sur l'ARN messager.
Inhibition du métabolisme des folates

Une autre classe importante d'antibiotiques interfère avec la production de métabolites essentiels, bloquant la synthèse de différents constituants essentiels de la cellules : lipides, acides aminés, nucléotides.
Une voie particulièrement importante qui est fréquemment ciblée est celle de la synthèse des folates (vitamine B9). Ses dérivés, notamment le dihydrofolate et le tétrahydrofolate, interviennent dans des réactions de transfert de groupements à un atome de carbone (méthyle, formyle) et en particulier dans des réactions de méthylation. Ces réactions sont essentielles à la synthèse de la thymine et par voie de conséquence, celle de l'ADN. Ces transferts de carbone dépendant du folate interviennent également de façon centrale dans le métabolisme de certains acides aminés : méthionine, glycine, sérine et donc indirectement dans la synthèse des protéines.
Plusieurs classes de composés antibiotiques ciblent différentes étapes de cette voie des folates :
Les sulfamidés et le sulfanilamide sont des analogues structurels de l'acide p-aminobenzoïque ou PABA. Ce dernier composé est l'un des éléments qui interviennent dans la synthèse des folates chez les bactéries et chez les plantes. Le sulfanilamide est un inhibiteur de la dihydroptéroate synthase et bloque la synthèse du dihydrofolate. Le triméthoprime intervient en aval dans la voie, en inhibant la synthèse de tétrahydrofolate par la dihydrofolate réductase. Le triméthoprime est sélectif de la dihyrdrofolate réducate des bactéries et n'inhibe pas l'enzyme humaine, ce qui rend possible son utilisation thérapeutique comme antibiotique (contrairement au méthotrexate, qui inhibe la dihydrofolate réductase humaine et est utilisé comme anticancéreux)
Thérapeutique
Sur les milliers d'antibiotiques connus, seulement un peu plus d'une centaine sont efficaces et utilisables pour des applications médicales et font donc partie de la pharmacopée moderne. Les autres sont trop toxiques, trop instables ou ont une biodisponibilité insuffisante chez l'humain. Les antibiotiques actuellement utilisés sont le plus souvent des molécules dérivées de produits naturels, dont on a légèrement modifié la structure pour améliorer leurs propriétés thérapeutiques ou contourner les problèmes de résistance. D'autres enfin ne sont plus utilisés parce que les bactéries pathogènes y sont devenues résistantes, c'est par exemple le cas de la streptomycine qui était autrefois utilisée pour traiter la tuberculose.
Près de la moitié des antibiotiques utilisés en thérapeutique ciblent le ribosome bactérien et environ un quart d'entre eux sont des bêta-lactames, qui ciblent la synthèse de la paroi bactérienne. Si on regarde les prescriptions, on constate que ce sont les bêta-lactames (pénicillines et céphalosporines) qui sont les antibiotiques les plus utilisés, en particulier par les médecins généralistes. En France, ils représentent près des deux tiers des doses définies journalières utilisés, devant les macrolides (~15 %)[9].
Indications des différents antibiotiques

Face à une infection bactérienne, le choix d'un antibiotique à utiliser dépend d'un ensemble de paramètres. Deux types de critères doivent être pris en compte : ceux qui dépendent du germe responsable lui-même et ceux qui dépendent du patient et du site de l'infection. Les premiers sont liés au spectre d'activité des différents antibiotiques, il est en effet nécessaire d'utiliser une molécule qui soit efficace sur le germe responsable de l'infection, en particulier lorsqu'on a affaire à des bactéries multirésistantes. Les seconds concernent l'interaction du médicament antibiotique avec le patient. Ceci concerne par exemple la capacité de l'antibiotique à atteindre efficacement le site de l'infection, l'existence d'un terrain allergique à certains antibiotiques ou encore la toxicité du composé utilisé (voir plus bas).
Les différents antibiotiques disponibles possèdent des spectres d'activité variés, certains étant plus actifs sur les bactéries gram positives ou gram négatives, sur les germes aérobies ou anaérobies ou encore sur les bactéries capable de pénétrer à l'intérieur des cellules infectées. Pour déterminer les antibiotiques efficaces, en particulier en cas d'échec du traitement de première intention, on réalise souvent un test antibiogramme : le germe responsable est mis en culture dans une boîte de gélose Müller-Hinton contenant plusieurs pastilles d’antibiotique qui vont inhiber plus ou moins le développement du micro-organisme, ce qui permet de comparer la sensibilité des bactéries à tel ou tel antibiotique.
Pour les infections sévères ou difficiles, on peut être amené à utiliser des combinaisons d'antibiotiques (poly-antibiothérapies). C'est en particulier le cas actuellement pour le traitement de la tuberculose, en raison des résistances acquises par le bacille de Koch pour lequel on utilise dans la phase initiale une quadrithérapie : isoniazide, rifampicine, pyrazinamide et éthambutol[10].
Enfin, en raison de l'émergence progressive de germes multirésistants, certaines molécules de génération récente sont réservées au traitement d'infections « difficiles », résistantes aux traitements traditionnels utilisés en première intention. C'est en particulier le cas des carbapenems comme l'imipenem ou des oxazolidinones comme le linezolide. Cette restriction a pour objectif de retarder la propagation de résistance à ces nouveaux composés et donc de prolonger l'efficacité de l'arsenal thérapeutique disponible.
Paramètres d'activité
L'analyse de l'activité d'un antibiotique donné sur une bactérie a conduit à définir un certain nombre de paramètres qualitatifs et quantitatifs. Le premier d'entre eux est le spectre d'activité qui définit la liste des espèces bactériennes sur lesquelles un antibiotique agit. Le spectre est propre à chaque antibiotique, et peut varier dans le temps à la suite de l'apparition de nouvelles résistances chez les différentes espèces bactériennes. L'autre concept majeur en antibiothérapie est celui de concentration minimale inhibitrice ou CMI (en anglais MIC, pour Minimal inhibitory concentration). Dans la pratique, on définit la CMI comme la concentration minimale d'antibiotique permettant d'inhiber (bactériostase) totalement la multiplication bactérienne, après 18 à 24 heures de contact à 37 °C. Ceci se décline en plusieurs variantes :
- la CMI50 est la plus faible concentration inhibant, en 18 à 24 heures, la multiplication de 50 % des bactéries ;
- la CMI90 est la plus faible concentration inhibant, en 18 à 24 heures, la multiplication de 90 % des bactéries.
On définit également la concentration minimale bactéricide (CMB), qui est la plus faible concentration permettant de détruire ou de tuer (bactéricidie) 99,99 % des bactéries après 18 à 24 heures de contact avec l'antibiotique. La CMI et la CMB sont caractéristiques d'un antibiotique pour une souche donnée. L'analyse de la concentration minimale bactéricide et de la concentration minimale inhibitrice (CMB/CMI) permet de caractériser l'effet de l'antibiotique étudié sur une souche bactérienne donnée. Lorsque le rapport CMB / CMI = 1, l'antibiotique est dit « bactéricide absolu », s'il est proche de 1, l'antibiotique est dit « bactéricide », s'il est supérieur à 2, l'antibiotique est dit simplement « bactériostatique ». En dépit d'efforts de standardisation des méthodes de détermination des CMI, il subsiste des différences d'un auteur à l'autre qui sont liées à la variabilité des conditions expérimentales utilisées : divers facteurs peuvent jouer : Composition des milieux, taille de l'inoculum, souches de phénotypes différents, etc.
Il existe également d'autres paramètres qui servent à caractériser le mode d'action d'un antibiotique et en particulier sa pharmacologie chez le patient :
- la concentration sérique maximale après l'administration de l'antibiotique, ou Cmax ;
- l'index thérapeutique sérique est égal à Cmax / CMI50. Plus ce paramètre est élevé, plus l'antibiotique sera efficace ;
- le temps d'antibiotique utile est la durée pendant laquelle la concentration sérique d'un antibiotique donné est supérieure à sa CMI pour un germe donné. Il correspond à la durée pendant laquelle il va avoir une activité sur les bactéries infectieuses dans l'organisme du patient ;
- le Tmax est le temps qu'il faut attendre pour atteindre la concentration sérique maximale Cmax ;
- la surface sous la courbe est un très bon indicateur de l'activité d'un antibiotique. On trace la courbe de l'évolution de la concentration de l'antibiotique dans le temps ; on place la ligne horizontale qui correspond à la CMI90. La surface sous la courbe est celle comprise entre la courbe des concentrations et la ligne de la CMI90. La surface sous la courbe est propre à un antibiotique pour un germe donné.
Mécanismes
Plusieurs mécanismes peuvent expliquer les effets indésirables liés à la prise d'antibiotique, parmi lesquels on trouve :
- Immunotoxicité : le médicament joue alors le rôle d'élément sensibilisateur. Les principales classes d'antibiotiques concernées sont les bêta-lactamines et les sulfamides. On distingue selon la classification de Gell et Coombs, les réactions
- de type 1 provoquant des phénomènes anaphylactiques, asthme, choc anaphylactique). Les pénicillines peuvent induire des réactions anaphylactiques avec une prévalence de 0,01 %[11] (réf. 1968 mais largement citée dans la littérature)
- de type 2 (cytopénie, anémie hémolytique...),
- de type 3 (vascularite immuno-allergique...),
- de type 4 (hypersensibilité retardée).
- Réactions anaphylactoïdes : la perfusion trop rapide de vancomycine peut entraîner un syndrome dit de l'Homme Rouge (Red Man Syndrome), lié à un phénomène d'histamino-libération.
- Troubles métaboliques :
- L'acide fusidique ou la rifampicine peuvent entraîner une hyperbilirubinémie.
- L'amphotéricine B augmente le risque d'hypokaliémie.
- Interactions médicamenteuses (induction et inhibition enzymatique) :
- Certains antibiotiques sont des inhibiteurs enzymatiques. C'est le cas des macrolides, de certaines cyclines telle la doxycycline, du métronidazole, de certains anti-fongiques azolés (fluconazole, itraconazole, kétoconazole, miconazole). Ils peuvent alors entraîner un surdosage des antivitaminiques K (AVK), de la théophyline, des dérives de l'ergot de seigle (ergotisme, nécrose des extrémités), risque majorée d'hypoglycémie (avec les azolés).
- Certains antibiotiques sont des inducteurs enzymatiques[12]. C'est le cas de la rifampicine, de la rifabutine. Ils peuvent alors diminuer le taux des œstroprogestatifs, majorer l'hépatotoxicité de l'isoniazide..
- Phototoxicité des fluoroquinolones, des cyclines ou du voriconazole.
Toxicité
Certains antibiotiques ne sont pas totalement spécifiques des bactéries et ont une certaine toxicité sur les cellules humaines, en particulier en cas de surdosage. C'est en particulier le cas pour certains antibiotiques qui ciblent la synthèse des protéines et le ribosome, comme les aminoglycosides. Il existe en effet une assez grande similarité de fonctionnement entre le ribosome des bactéries et celui qui est présent dans les mitochondries des animaux, ce qui, à forte dose, peut conduire à une inhibition des ribosomes mitochondriaux et donc à un effet toxique. Ce mécanisme est responsable de la nephrotoxicité des aminoglycosides à trop forte dose[13] (voir plus bas).
Certains antibiotiques peuvent aussi réduire l'efficacité du système immunitaire chez la souris et altérer les cellules épithéliales chez l'homme[14].
Manifestations pulmonaires
Des bronchospasmes, des insuffisances respiratoires aigües[Combien ?] peuvent être liés à des réactions anaphylactoïdes.
Des pneumopathies interstitielles immuno-allergiques peuvent être provoquées par les bêta-lactamines, les sulfamides ou les cyclines. On décrit aussi des pneumopathies alvéolaire aigües[15] liée à la prise de bêta-lactamines ou de cyclines. Les nitrofurantoïnes peuvent rarement provoquer des pneumopathies interstitielles desquamations[16]. Les sulfamides et les bêta-lactamines peuvent induire des angéites leucocytoclasiques[16].
Manifestations rénales
Néphropathie toxique : on observe des nécroses tubulaires aigües notamment provoquées par les aminosides (prévalence entre 7 % et 25 %, la gentamicin (26 %) étant plus néphrotoxique que la tobramycin (12 %)[17]), les céphalosporines, l'amphotéricine B (une dysfonction rénale est observée dans 60 % à 80 % des cas, mais dans une large mesure, ces perturbations sont transitoires[18]) et les polymyxines[19],[20], des néphropathies tubulo-interstitielles provoquées par les bêta-lactamines, les sulfamides, la rifampicine, les fluoroquinolones, les glycopeptides et les nitrofurantoïnes[19].
Des néphropathies immuno-allergiques peuvent être provoquées par de très nombreuses classes d'antibiotiques[21]. Les bêta-lactamines et la rifampicine[21] sont les plus souvent incriminées.
À noter les cristalluries provoquées par les fluoroquinolones ou les sulfamides, les nitrofurantoïnes[19], et les lithiases rénales provoquées par les pénicillines, les céphalosporines, les nitrofurantoïnes ou la sulfadiazine[22]. On décrit aussi des glomérulonéphrites induite par la rifampicine ou l'isoniazide ou par la prise de cyclines[19].
Manifestations neurologiques
Les aminosides présentent une toxicité cochléo-vestibulaire. Celle-ci est cumulative et irréversible en cas de traitement prolongé[23]. Précisément, on note une vestibulo-toxicité de l'ordre de 15 % des patients traités[24] (certaines études rapportent une vestibulotoxicité de 10 % pour les streptomycine[25], et de 20 % pour la gentamicine).
Une hypertension intra-crânienne peut être liée à la prise de fluoroquinolones, de tétracyclines, des nitrofurantoïnes, du sulfaméthoxazole[26].
Des troubles neuro-sensoriels sont possibles après la prise de fluoroquinolones[27]. Indiquons que rarement l'hydroxyquinoléine peut entraîner des neuropathies sensitives ainsi que des névrites optiques[28], et l'imidazolé (auquel les quinoléines sont associées dans le traitement des amoeboses intestinales), peut entrainer, à forte dose, une neuropathie sensitive.
De façon assez peu spécifique, insomnies et vertiges peuvent être observés après la prise de nombreuses classes d'antibiotiques.
Manifestations hématologiques
Comme d'autres médicaments, les antibiotiques peuvent parfois induire des syndromes hématologiques[29] :
Cytopénies observées avec les bêta-lactamines, les sulfamides et sont en général réversibles. On estime à 1 % la prévalence d'une neutropénie induite par la prise de bêta-lactamines, chez les patients ayant une fonction hépatique normale et pour une prise de moins de 10 jours[30]. À noter, les effets myélotoxiques des oxazolidinones, notamment pour les traitements au long cours[31]
Des anémies hémolytiques (immune, déficit en G6PD) sont décrites après la prise de sulfamides, de céphalosporines. La sulfasalazine peut provoquer une anémie mégaloblastique
Les sulfamides peuvent entraîner une agranulocytose, une anémie hémolytique, une aplasie médullaire. Le chloramphénicol provoque rarement une aplasie médullaire ou une anémie sidéroblastique.
Des coagulopathies sont décrites, en particulier des hypoprothrombinémies à la suite de la prise de bêta-lactamines, de cyclines mais aussi la prise de sulfamides, de chloramphénicol.
La dapsone peut provoquer une méthémoglobinémie.
Par ailleurs, selon un mécanisme allergique, les antibiotiques peuvent induire un syndrome d'hypersensibilité médicamenteuse, lequel s'accompagne en règle générale d'une hyperéosinophilie.
Manifestations hépatiques
Parmi les effets secondaires documentés au niveau hépatique, on peut citer[32] :
Hépatites cytolytiques avec les kétolides, l'isoniazide, la rifampicine,
Hépatites cholestatiques avec l'amoxicilline-acide clavulanique, l'érythromicine
L'acide fusidique ou la rifampicine peuvent entraîner une hyperbilirubinémie.
Allergies

Les antibiotiques sont parmi les médicaments ceux pour lesquels les réactions allergiques sont les plus fréquentes[33]. C'est en particulier le cas des bêta-lactames et des macrolides. L'allergie à l'un des antibiotiques d'une famille rend probable l'existence d'une allergie aux autres antibiotiques de la même classe. En revanche, il n'y a pas de raison qu'il existe des allergies croisées entre molécules de classes différentes, compte tenu des différences importantes de structure chimique, de mode d'action et de biodisponibilité. Les allergies aux pénicillines sont particulièrement fréquentes mais peuvent disparaître après plusieurs années[33].
Les manifestations allergiques peuvent inclure des éruptions cutanées (rash), de l'urticaire, de l'œdème, de la gêne respiratoire et plus rarement des manifestations plus graves (œdème de Quincke, choc anaphylactique...). Indiquons l’effet Antabuse qui peut être provoqué par les imidazolés.
Système digestif
Des nausées, des vomissements peuvent être observées avec toutes les classes d'antibiotiques.
Chez l'humain, le tube digestif contient une flore intestinale commensale importante qui contribue au processus de digestion. Les traitements antibiotiques et en particulier ceux utilisant des composés à large spectre tuent non seulement les bactéries pathogènes responsables des infections, mais de manière collatérale certaines de ces bactéries commensales. Ceci conduit à un déséquilibre momentané de la flore bactérienne digestive et peut ainsi causer des troubles du transit intestinal plus ou moins importants qui se manifestent en général par des diarrhées pendant la durée du traitement.
Des diarrhées motrices sont essentiellement observées après la prise de macrolides ou d'acide clavulanique[34]. Les tétracyclines peuvent entraîner des œsophagites[35]
Plus rarement, et jusqu'à deux mois après l'arrêt du traitement, cela peut faciliter aussi la recolonisation du tube digestif par des bactéries pathogènes[36]. Certaines de ces bactéries sont susceptibles de favoriser des infections bénignes ou graves, par exemple Clostridium difficile ou Klebsiella Oxytoca.
L'administration ou la consommation de probiotiques tels que Lactobacillus et Bifidobacterium, pourrait permettre de réduire le risque de développement d'une infection à C. difficile lors d'une antibiothérapie[37]. Une telle administration n'a cependant pas pour l'instant démontré d'impact significatif en termes de morbi-mortalité des infections digestives graves à C. difficile (colite pseudomembraneuse). Ces « substances d'origine microbienne » ont en commun l'absence de démonstration d'une activité clinique spécifique[38].
Antibiotiques et cancer
Une étude épidémiologique a aussi mis en évidence[39],[40] que la prise d'antibiotiques était statistiquement associée à une augmentation modeste mais significative du risque de contracter certains cancers chez les participants ayant eu des prescriptions répétées d'antibiotiques[40]. Cette augmentation était de 20 à 50 % du risque relatif par rapport aux personnes non-exposées (comparée à 2300 % pour l'usage du tabac dans le cancer du poumon). Ces études montrent aussi qu'il n'y a pas de lien causal direct et cet effet n'est pas clairement expliqué[41].
Antibiotiques et obésité
Des nourrissons exposés aux antibiotiques dans les premiers six mois de leur existence montrent une augmentation de 22 % du risque d'obésité à un âge plus avancé. Cette étude épidémiologique suggère que l'antibiothérapie élimine des espèces bactériennes commensales du microbiote intestinal humain essentielles à l'équilibre nutritionnel[42].
Résistance aux antibiotiques
Lorsqu'une population de bactéries est soumise à l'action d'un antibiotique dans son milieu, elle subit une pression de sélection, qui favorise les cellules qui sont les mieux capables de résister à l'effet de ces molécules. Petit à petit, l'émergence de modifications génétiques permettant un niveau de résistance plus élevé se trouve ainsi sélectionnée. L'action des antibiotiques sur les bactéries induit ainsi un processus d'évolution darwinienne « en accéléré » que l'on peut observer à l'échelle de temps humaine. Les premiers antibiotiques ont été introduits à la fin des années 1930; et aujourd'hui, la résistance à ces composés de première génération pénicilline, streptomycine, s'est très largement répandue chez les bactéries, si bien que l'on a cessé de les utiliser à des fins thérapeutiques. Le tableau suivant indique les dates d'introduction des grandes familles d'antibiotiques dans l'arsenal thérapeutique et les dates d'apparition des premières résistances sur des souches cliniques[43].
| Antibiotique | Année d'introduction | Apparition des premières résistances |
|---|---|---|
| Sulfamides | 1936 | 1940 |
| Pénicilline G | 1943 | 1946 |
| Streptomycine | 1943 | 1959 |
| Chloramphénicol | 1947 | 1959 |
| Tétracycline | 1948 | 1953 |
| Erythromycine | 1952 | 1952 |
| Ampicilline | 1961 | 1973 |
| Ciprofloxacine[44] | 1987 | 2006 |
De nombreux antibiotiques sont des produits naturels ou dérivés de produits naturels, souvent synthétisés par des bactéries elles-mêmes pour éliminer leur compétiteurs dans le milieu environnant. Ces bactéries productrices d'antibiotiques ont en général développé en même temps des mécanismes de résistance leur permettant d'éviter les effets du composé qu'elles produisent. Des gènes de résistance aux antibiotiques pré-existaient donc souvent dans la biosphère bactérienne, avant leur utilisation par l'humain. L'émergence plus ou moins rapide de résistance chez les organismes pathogènes n'est donc pas surprenante, elle est souvent liée soit à l'acquisition par transfert d'un de ces gènes de résistance, soit à une adaptation d'un de ces gènes de résistance à une modification des molécules utilisées. Ainsi, l'amélioration progressive des bêta-lactames par l'industrie (exemple : céphalosporines de 1re, de 2e puis de 3e génération) s'est accompagnée d'une évolution concomitante des bêta-lactamases qui se sont progressivement adaptées aux nouveaux composés, sous l'effet de la pression de sélection.
Mécanismes de résistance

Il existe différents mécanismes de résistance, certains généraux qui fonctionnent contre un large spectre d'antibiotiques et d'autres très spécifiques d'un seul. Il existe également des mécanismes de transfert d'une espèce à une autre, ce qui favorise la dissémination de la résistance et qui sont présentés plus bas. Dans tous les cas, le mécanisme aboutit à une action fortement réduite de l'antibiotique sur sa cible ou à une perte d'effet de cette action. Il existe une grande variété de mécanismes d'action que l'on peut regrouper dans les grandes catégories suivantes :
Mutation de la cible de l'antibiotique
Chaque antibiotique agit en se fixant sur une cible précise dans la cellule : paroi, ribosome... La présence d'une modification consécutive à une mutation modifie le site de fixation et empêche ainsi la liaison de l'antibiotique. C'est un des mécanismes de résistance à la streptomycine, l'un des premiers antibiotiques utilisés pour traiter la tuberculose. C'est aussi l'un des principaux mécanisme de résistance à la rifampicine qui est l'un des antibiotiques qui a remplacé la streptomycine. On observe des mutations de l'ARN polymérase bactérienne qui bloquent la liaison de la rifampicine. Les acides aminés mutés sont situés à proximité immédiate du site de fixation (voir figure à droite).
Modification de la cible de l'antibiotique
Une enzyme spécifique effectue une modification chimique covalente de la cible, par exemple une méthylation, ce qui inhibe la fixation de l'antibiotique, comme dans le cas précédent, mais sans qu'il y ait altération du génome. Ce type de mécanisme est rencontré dans la résistance aux macrolides, où il existe une méthylase qui confère la résistance en modifiant l'ARN ribosomique au niveau du site de liaison de l'antibiotique.
Surexpression de la cible de l'antibiotique
En produisant davantage de la macromolécule ciblée, la bactérie arrive à maintenir suffisamment d'activité biologique pour se développer, malgré la présence de l'antibiotique.
Contournement métabolique
La bactérie active une voie métabolique alternative qui prend le relai de voie métabolique bloquée par l'antibiotique. La fonction biologique est ainsi maintenue.
Modification de l'antibiotique
De nombreuses souches résistantes fabriquent une enzyme qui modifie ou qui clive la molécule d'antibiotique, la rendant inactive. C'est le mécanisme principal de résistance aux β-lactamines (famille de la pénicilline et des céphalosporines) qui implique les enzymes de la famille des β-lactamases.
Réduction de la perméabilité membranaire
La bactérie « ferme » les pores membranaires par lesquels l'antibiotique pénètre dans la cellule. Ces pores sont normalement constitués par des protéines qui forment des canaux et que l'on appelle des porines. Les bactéries résistantes réduisent leur nombre de porines[45].
Efflux des antibiotiques
Les bactéries sont capables d'éliminer les antibiotiques par pompage actif hors de la cellule, qui « recrache » littéralement les composés toxiques au dehors. C'est l'un des principaux mécanismes de résistance de Pseudomonas aeruginosa, pathogène opportuniste responsable de nombreuses infections nosocomiales.
Défense altruiste
Des bactéries très résistantes sont capables de synthétiser l’indole en très grande quantité pour subvenir aux besoins des bactéries sensibles. Ce composé organique possède une double fonction de résistance : efflux des antibiotiques et activation d’une voie métabolique empêchant la synthèse de radicaux libres qui peut être favorisée par l’antibiotique[46].
Résistance naturelle
On peut parler de résistance naturelle si toutes les souches d’une même espèce sont résistantes à un antibiotique. C’est l’expression d’une propriété innée reflétant l’empêchement d’accéder à la cible ou l’absence de la cible. Exemple : l'imperméabilité des parois des bactéries Gram- ou leur absence de paroi.
On rencontre ce type de résistance chez les souches sauvages, n'ayant jamais été en contact avec un antibiotique.
Chromosomique
La résistance acquise survient lorsqu'un individu d'une population de bactéries normalement sensibles devient résistant. Cette résistance lui confère un avantage sélectif qui lui permet de se multiplier en présence de l'antibiotique, tandis que les autres sont inhibées ou tuées. L'apparition de la résistance est en général la conséquence d'une mutation qui apparaît dans le chromosome, c'est pourquoi on parle de résistance chromosomique. En conditions normales, l'apparition de mutation est un processus spontané avec des fréquences d’apparition variables, comprises entre 10−6 et 10−9, suivant l'antibiotique, la souche et la nature du mécanisme de résistance. C’est un événement rare. L’antibiotique n’est pas l’agent mutagène, il sélectionne seulement les mutants devenus résistants. Cela peut conduire à la résistance simultanée à toute une famille d'antibiotiques.
La mutation peut par exemple se produire dans le gène qui code la protéine ciblée par l'antibiotique. La protéine mutante ne fixe plus aussi bien l'antibiotique qui ne peut plus agir.
Les mutations apparaissent de manière indépendante, donc les risques de sélectionner simultanément par mutation spontanée des résistances multiples à plusieurs antibiotiques sont très faibles. Une double résistance multiplie les probabilités d’apparition de résistance à chaque molécule, c’est-à-dire 10−12 à 10−18.
La résistance chromosomique est en général largement confinée à l'espèce chez laquelle elle apparaît, car elle n'est pas facilement transférable à une autre cellule, faute de mécanisme spécifique de transfert.
Plasmidique
Les plasmides sont des petits ADN circulaires capables de réplication autonome dans les bactéries, à côté du chromosome. Les plasmides naturels portent en général un certain nombre de gènes et en particulier des gènes de résistances à des antibiotiques, ainsi que des gènes de transfert permettant le passage du plasmide d'une bactérie à une autre. Ce transfert s'effectue en général par conjugaison, un processus par lequel la bactérie émettrice fabrique un pilus, sorte de filament creux au travers duquel l'ADN du plasmide est injecté pour passer dans une autre cellule bactérienne. La synthèse du pilus est en général aussi sous le contrôle de gènes portés par le plasmide.
Il peut s'agir d'un transfert entre bactéries de la même espèce, mais aussi entre bactéries d'espèces voisines. Ce mécanisme de conjugaison est un mécanisme de transfert actif d'ADN très efficace et permet une propagation rapide des résistance. Souvent, plusieurs gènes de résistance sont regroupés sur le même plasmide qui est ainsi transféré de cellule en cellule.
Le premier cas de résistance fut observé en 1951 sur un patient japonais. Il souffrait d'une infection à Shigelle (une entérobactérie, c’est-à-dire un bacille gram négatif, mobile). La Shigelle provoquait une dysenterie qui pouvait être soignée par des sulfamidés, mais elle était devenue résistante à ces sulfamidés. Les chercheurs ont démontré que cette résistance était accompagnée par des résistances in vitro à d’autres antibactériens.
Ils ont isolé dans le tube digestif d’autres malades, des souches d’Escherichia coli (une autre Entérobactérie, très répandue dans l’eau, le sol, le lait et les selles) qui avaient acquis une résistance aux sulfamidés par un transfert horizontal entre les deux espèces.
Il existe d'autres mécanismes de transfert d'ADN entre espèces bactériennes qui permettent la propagation de gènes de résistance aux antibiotiques entre bactéries. Ces mécanismes ne sont toutefois pas spécifiques des plasmides et peuvent également intervenir pour le transfert de résistances chromosomiques.
- La transduction : le vecteur est un virus bactériophage. En se répliquant, le phage intègre une partie du génome bactérien. En quittant la cellule, il emporte des gènes supplémentaires (bactériens) qui pourront être transfectés dans une autre bactérie. Ce système est efficace, mais les échanges sont limités en taille (le phage ne peut pas transférer un long morceau d'ADN bactérien) aux organismes proches phylogénétiquement pour la reconnaissance phage/bactérie.
- La transformation : la bactérie acquiert et incorpore de l’ADN exogène nu présent dans son environnement. Cela peut être de l’ADN d’une bactérie morte qui, une fois capté, permet l’expression de ses gènes par la nouvelle bactérie. C’est un événement très rare qui existe chez les bactéries Gram positives.
Résistances acquises courantes
Le pneumocoque (Streptococcus pneumoniae) a développé une résistance par modification d’une protéine membranaire spécifique où se fixent les pénicillines (la PLP) imposant des doses plus élevées d’antibiotique (typiquement, l’amoxicilline), voire contraignant à prescrire une céphalosporine de 3e génération (souvent la ceftriaxone). Les résistances en France sont documentées depuis 1978. En 2000, on comptait environ 50 % de souches résistantes, en particulier dans les grandes villes. La résistance au Streptococcus pneumoniae est suivie en France par le Centre national de référence des pneumocoques, AP-HP Hôpital européen Georges-Pompidou, et il publie son rapport dans le Bulletin épidémiologique hebdomadaire ou BEH (voir lien en bas d'article).
Les staphylocoques méti-résistants, particulièrement redoutables, sont insensibles aux pénicillines (chez eux aussi par modification de leurs PLP), mais aussi par production d’une bêta-lactamase et d’une méticilinase. Les infections à staphylocoque méti-R sont typiquement des infections nosocomiales sévères, responsables d’une lourde mortalité. Les glycopeptides sont une alternative thérapeutique classique. La production de bêta-lactamase concerne plusieurs souches bactériennes : gonocoques, haemophilus influenzae,anaérobies, entérocoques.
La surconsommation : un problème de santé publique
En médecine humaine
Les spécialistes critiquent dans ce contexte la prescription parfois trop à la légère (fréquente) de certains antibiotiques (surprescription), y compris quand ils sont inefficaces (contre les virus par exemple).
Le phénomène serait aussi amplifié :
- par l’usage de doses trop faibles (y compris dans des médicaments en vente libre)[47]
- ou sur une durée trop courte (moins de 8 jours), ou trop longues
- ou par l'absorption de petites quantités d'antibiotiques contenues dans certains aliments, notamment des viandes ou poissons d'élevage.
Les antibio-résistances ont conduit les épidémiologistes et les autorités sanitaires à préconiser un usage plus raisonné des antibiotiques (un peu à la manière de la gestion internationale concertée par l’OMS des médicaments antipaludéens).
Les antibiotiques sont sans effet sur les virus ; toutefois, il arrive que ceux-ci soient prescrits dans le cas où l’organisme est affaibli, pour éviter que celui-ci ne devienne vulnérable à des surinfections bactériennes. Cependant, nombreux (en France) sont les médecins qui prescrivent systématiquement des antibiotiques pour des affections virales, alors qu'ils ne seront pas efficaces et qu'ils ne font que renforcer la résistance des bactéries aux antibiotiques.
Ces résistances aux antibiotiques deviennent extrêmement préoccupantes, elles sont l'objet d'avertissements réguliers des agences gouvernementales et internationales. Par exemple :
- plus d'un tiers des affections au staphylocoque doré sont désormais impossibles à traiter avec les antibiotiques, causant amputations et décès. Il est probable que les ¾ des 4 200 décès par an, en France, pour infections nosocomiales soient le fait de bactéries multirésistantes aux antibiotiques[48].
- la résistance du pneumocoque à la pénicilline G est passée en France, de 0,5 % à 45 % entre 1984 et 2001. La France — qui est un des pays les plus grands consommateurs d'antibiotiques[9] — compte le plus grand nombre d’échecs thérapeutiques contre des pneumocoques totalement résistants à la pénicilline[49].
En 2015 a été publiée par l'Institut National de la Veille Sanitaire l'Étude Burden BMR sur la morbidité et la mortalité des infections à bactéries multi-résistantes aux antibiotiques en France en 2012. Cette étude chiffre à 158 000 (127 000 à 245 000) les infections à BMR survenues en 2012, dont près de 16 000 infections invasives. Les SARM et entérobactéries résistantes aux C3G étaient responsables de 103 000 (90 000 à 172 000) infections, soit 65 % (70 à 75 %) du total. Le nombre de décès attribués à ces infections était de 12 500 (11 500 à 17 500), dont 2 700 liés à des infections invasives[50].
En médecine vétérinaire
En 1997, 48 % du total des ventes européennes d'antibiotiques est destiné à un usage vétérinaire[réf. nécessaire]. En 2013, d'après l'OMS, au moins 50 % des antibiotiques mondiaux sont destinés aux animaux[51].
Les antibiotiques peuvent être utilisés en élevage comme médicaments vétérinaires, à des fins curatives ou préventives, ainsi qu'à des fins de «facteurs de croissance » :
- pour protéger les élevages (porcins, bovins, volailles) des maladies[52], de manière systématique, avant même que ces animaux ne deviennent malades (comme s'il s'agissait d'un aliment naturel qui jouerait un rôle de prévention) ;
- ou même comme « stimulateurs de croissance » de ces animaux[53],[54],[55], pour augmenter de façon importante la rentabilité de l'élevage[56].
Ces additifs antibiotiques pour l’alimentation animale sont interdits en Europe depuis le (la Suède l'avait interdit depuis 1986[57]) mais toujours autorisée à visée préventive et curative, notamment collectivement pour un groupe d'animaux, du fait de la promiscuité dans l'élevage industriel qui rend impossible le traitement individuel[56]. Ils sont autorisés au Canada[58] mais les agriculteurs de la filière avicole ont décidé d'arrêter de les utiliser[59] ; ils sont aussi autorisés aux États-Unis[60].
Consommation dans le monde
- Aux États-Unis, 80 % des antibiotiques vendus le sont pour des animaux (2 % pour les animaux domestiques et 98 % pour l'élevage)[60],[61].
- Au Royaume-Uni l'étude de 358 fermes laitières (7 % du cheptel des vaches britanniques) a montré qu'en 2017, 25 % de ces exploitations ont consommé 50 % des antibiotiques totaux ; Le suivi de 81 000 vaches laitières a montré que l'injection concerne 78 % de tous les antibiotiques utilisés ou vendus en élevage et que « d’énormes quantités d’antibiotiques sont administrées via les pédiluves » dont contre la dermatite digitale. Afin de réduire rapidement la consommation d’antimicrobiens, une application téléchargeable (Dairy Antimicrobial Usage Calculator[62]) a été créée pour aider les vétérinaires et aux éleveurs à avoir un usage plus responsable des médicaments.
Au Royaume-Uni entre 2015 et 2017 les antibiotiques vendus pour animaux de rente ont baissé (62 mg/kg à 45 mg/kg), soit un peu moins vite qu'en France[63]. - Les animaux les plus exposés sont les lapins, les poules et les porcs[64].
En France
699,09 t d'antibiotiques ont été vendus en 2013 à destination des animaux (1,25 pour les carnivores domestique, 98,75 % pour l'élevage)[65], il s'agit du plus faible volume depuis 1999 (début du suivi national des ventes d'antibiotiques) avec une baisse de 46,7 %. Cette baisse de volume est a pondérer avec le fait que les antibiotiques récents sont plus actifs avec des doses moindres[56]. C'est pourquoi on calcule l'exposition des animaux aux antibiotiques avec la mesure ALEA (Animal Level of Exposure to Antimicrobials) qui prend en compte la posologie (durée et dosage du traitement) des animaux d'une espèce sous antibiotiques (poids vif traité) que l'on divise par la masse de la population animale concernée totale (potentiellement traitable). Ainsi, un ALEA de 0,305 pour les bovins signifie que les traitements antibiotiques ont traité 35 % du poids vif des bovins, l'indice peut donc être supérieur à 1 selon le nombre et la durée des traitements[65],[66]. L'exposition en 2013 est en baisse de 5,5 % par rapport à 1999 toute espèce confondue mais augmente notamment pour les bovins (+14,7 %) et les volailles (+30 %) tandis qu'elle diminue pour les porcs (-25 %) et les lapins (-50 %)[65].
| Bovins | Veaux voie orale[alpha 1] | Chats & Chiens | Chevaux | Poissons | Lapins | Ovins & Caprins | Porcs | Volailles | Autres | Total | |
|---|---|---|---|---|---|---|---|---|---|---|---|
| Poids vif traité (tonnage) | 2 839 593 | 525 249 | 104 770 | 108 806 | 8 027 | 273 824 | 231 361 | 2 730 607 | 2 043 147 | 18 300 | 8 363 438 |
| ALEA | 0,305 | 2,628 | 0,668 | 0,366 | 0,178 | 2,701 | 0,404 | 0,951 | 0,117 | 0,525 | 0,550 |
- Estimation, traitements de groupe uniquement (les sachets repas, boli et pâtes orales ont été exclus de l'analyse)
Chaque année, la Direction générale de l’alimentation contrôle plus de 20 000 prélèvements de produits animaux ou d’origine animale pour rechercher d’éventuelles traces de résidus de médicaments vétérinaires.
Fin 2017, une association Adelie a été créée par six organisations professionnelles vétérinaires[67] pour gérer les échanges de données (données sur les cessions d’antibiotiques) entre la profession vétérinaire et la DGAL[68]. Cette plate-forme informatique devra refléter les processus “métier” des vétérinaires pour toutes leurs activités, à la suite d'un décret (du ) qui vise notamment à évaluer les quantités d’antibiotiques cédés par les ayants droit du médicament vétérinaire[69].
Et début 2018 afin de freiner l'usage abusif d'antibiotique en élevage, l’École nationale vétérinaire de Toulouse (ENVT) et l’Institut national de la recherche agronomique (Inra) ont créé une unité « Innovations thérapeutiques et résistances » (InTheRes, basée à Toulouse), destinée à la recherche d'alternatives innovantes sous la direction du Pr Alain Bousquet-Mélou[70].
L'antibiorésistance a aussi pour conséquence le passage de gènes résistantes à l'humain (pollution des eaux et sols par les excréments, cuisson pas assez forte pour les détruire) et la présence d'antibiotiques dans la viande si le délai légal de fin de traitement avant abattage n'a pas été respecté. D'après la Direction générale de l'alimentation, cela se produisait déjà avec moins d'un prélèvement positif sur deux cents en 1998 (ce qui n'est pas négligeable à l'échelle nationale)[71].
Alternatives
Les alternatives aux antibiotiques sont peu nombreuses.
Bactériophagiques
Les bactériophagiques sont des médicaments à base de cocktails de phages ou bactériophages, des virus qui dévorent la bactérie cible. Découverts par le Français Félix d'Hérelle en 1916, ils ont été immédiatement utilisés, notamment pour traiter les blessés de la Première Guerre mondiale, jusqu'à l'essor des antibiotiques qui étaient plus faciles d'emploi et qui les ont remplacés. Les bactériophagiques sont cependant encore en usage dans l'ancien bloc soviétique. La phagothérapie fait l'objet de nombreuses recherches partout dans le monde. En France ils ne peuvent être prescrits que dans le cadre d'une ATUn (Autorisation Temporaires d'Utilisation nominative).
Il existe une synergie lorsque l'on combine les traitements par antibiotique et par bactériophagique[72],[73].
Polymères
Nature Microbiology a publié en 2016 une étude consacrée à l'emploi de polymères microscopiques en forme d'étoiles pour tuer des bactéries résistantes aux antibiotiques. Ces polymères SNAPP (structurally nanoengineered antimicrobial peptide polymers) sont formés de courtes chaînes protéiques. Ils se sont révélés efficaces pour détruire des bactéries à Gram négatif. Le polymère était par contre inoffensif pour l'organisme. Il n'induirait pas de résistance chez les microbes[74].
Thérapie à l'aide de CRISPR/Cas9
Une découverte récente d'un outil moléculaire trouvé initialement chez les bactéries pourrait s'avérer être un espoir thérapeutique. La technologie CRISPR se sert d'une enzyme appelée Cas9 qui agit à la façon de ciseaux moléculaires pouvant couper des séquences spécifiques de l'ADN. L'enzyme est en mesure de trouver une séquence cible grâce à un ARN guide pouvant être construit de sorte qu'il corresponde à la séquence cible que l'on désire éditer[75].
L'idée serait donc de concevoir un système CRISPR qui viserait uniquement les gènes de résistances bactériens dans le but de supprimer les parties du génome responsables de résistances aux antibiotiques. Le point fort de cette méthode est qu'elle permettrait de s'adapter constamment aux nouveaux gènes de résistances qui apparaissent avec l'évolution des bactéries. Des études suggèrent[75] que cette technologie pourrait vaincre la résistance à la Méthicilline chez le staphylocoque doré (Staphylococcus aureus) MRSA, responsable d'infections dans les hôpitaux.
Cette méthode prometteuse se veut non seulement efficace mais également peu coûteuse. Par exemple, le coût associé aux éléments nécessaires pour faire une expérience à base de CRISPR revient à un coût d'environ trente dollars contre un coût annuel aux États-Unis de trente milliards de dollars pour remédier aux infections associées à des résistances bactériennes aux antibiotiques[75].
Éligobiotiques
D'autres antibiotiques, baptisés éligobiotiques[76] (du latin eligo, élire, choisir), seraient capables de ne détruire que certaines bactéries sélectionnées, contrairement aux antibiotiques qui s'attaquent à des classes plus larges de bactéries. Ils pourraient notamment éliminer de manière ciblée les bactéries devenues résistantes aux antibiotiques traditionnels.
Historique
Les antibiotiques avant les sulfamides et la pénicilline
Depuis l'antiquité on a pu recourir empiriquement à des moisissures se développant sur le pain, le soja... pour soigner des infections ; c'est cependant après l'adoption de la théorie des germes, puis sous l'impulsion de la théorie de l'évolution[77], que commence véritablement l'histoire de ce qui allait s'appeler les antibiotiques[78] : les micro-organismes ayant été identifiés comme causes de maladies, les scientifiques se mirent à chercher des substances qui pourraient en inhiber, partiellement ou totalement, le développement. La diffusion des antibiotiques à partir de la fin des années 1940 eut un impact considérable sur la santé des populations, la pratique médicale et la recherche scientifique. Leur utilisation en médecine vétérinaire ainsi qu'en agriculture conduisirent à des changements également importants.
Certaines observations, fortuites ou provoquées, incitèrent différents scientifiques à identifier des bactéries inoffensives qui pourraient s’opposer au développement de bactéries pathogènes. En 1877 déjà, Pasteur et Jules Joubert observèrent que l’injection à des rats d’une solution contenant de l’anthrax ainsi que diverses bactéries du sol ne conduisait pas les rats à développer la maladie du charbon. Par ce travail, Pasteur apporta la première description claire et univoque de l’antagonisme microbien que d’autres avaient pu indiquer avant lui. En outre, il entrevit les possibilités thérapeutiques de ce phénomène[79] J.-A. Auzias-Turenne, mort en 1870, avait déjà prôné l’utilisation des antagonismes microbiens à des fins thérapeutiques. Ses idées à ce sujet se trouvent dans son ouvrage posthume La Syphilisation[80]. En 1885, Arnaldo Cantani traita des cas de tuberculose pulmonaire par des pulvérisations de Bacterium termo dans les poumons[81]. En 1887, Rudolf Emmerich montra quant à lui que des animaux auxquels on avait préalablement injecté le streptocoque ne développaient pas le choléra.En 1888 Victor Babeş montre que certaines bactéries saprophytes inhibent le développement de Mycobacterium tuberculosis[82]. En 1889, Bouchard montra que l’injection de Pseudomonas aeruginosa prévenait le développement de l’anthrax chez les rats[83].
C’est en 1888 qu’une substance antibactérienne fut extraite de Bacillus pyocyaneus par E. von Freudenreich. En 1889, Rudolf Emmerich et Oscar Löw effectuent des essais cliniques sur une substance antibiotique, la pyocyanase produite par Bacillus pyocyaneus une bactérie appelée aujourd’hui Pseudomonas aeruginosa[84]. Instable et toxique, le médicament fut abandonné (mais connut quelques applications sous forme de pommade pour les dermatoses)[85].
Plusieurs centaines d’exemples d’antagonisme microbien furent ainsi mis en évidence sans avoir de suite pratique[86]. Cela est en partie dû à l’attention accordée alors à une autre voie de recherche, chimiothérapique, à la suite de la découverte de l’arsphénamine (Salvarsan). Par ailleurs l’utilisation des bactériophages, découverts en 1917 par Félix d'Hérelle et employés immédiatement à des fins thérapeutiques, semblait également une voie prometteuse.
Origine de la dénomination « antibiotique »
Si le terme d’antibiose fut proposé en 1889 par Paul Vuillemin, en opposition au phénomène de symbiose, pour décrire le phénomène d’antagonisme entre deux espèces microbiennes, la paternité du terme antibiotique (sous forme adjective ou substantive) est discutée : certains en créditent René Dubos (dès 1940)[87], d’autres Selman A. Waksman (en 1941, à la suite de sa découverte de la streptomycine qualifiée par lui de « médicament antibiotique » ; voire dès 1932[88]).
Waksman proposa en 1947 les définitions suivantes afin de diminuer les ambiguïtés sur le sens du terme antibiotique :
- antibiotique : « inhibition de la croissance ou des activités métaboliques de bactéries ou d’autres micro-organismes par une substance chimique d’origine microbienne »
- une substance antibiotique biochimique ou un antibiotique biochimique : « une substance chimique d’origine microbienne, possédant des propriétés antibiotiques »[89], définition qui exclut les antibiotiques chimiques contenant de métaux lourds toxiques (ex. : mercurescéine en solution aqueuse du mercurochrome, ou autres organomercuriels tels que dans l'ancienne formule du mercryl, ou calomel (chlorure mercureux), de moins en moins utilisés en raison de la toxicité durable de certains de leurs composants et de leur caractère sensibilisant (Le Mercurochromet, la Mercurescéine sodiquet, le Mercryl laurylé ou mercurobutol, le Merfènet teinture composé de borate de phénylmercure), le Merseptyl ou le thiomersal (= mercurothiolate de sodium) se sont avérés sensibilisants et facteurs de dermatoses[90]
L’apparition d'antibiotique de synthèse mena à une nouvelle définition énoncée en 1957 par Turpin et Velu :
« Tout composé chimique, élaboré par un organisme vivant ou produit par synthèse, à coefficient chimiothérapeutique élevé dont l’activité thérapeutique se manifeste à très faible dose, d’une manière spécifique, par l’inhibition de certains processus vitaux, à l’égard des virus, des micro-organismes ou même de certaines cellules des êtres pluricellulaires[91]. »
On relèvera dans cette définition la mention d’usages à destination non seulement de bactéries, mais aussi de virus, et même d’êtres pluricellulaires qui pourrait surprendre tant les récentes campagnes à destination du public — du moins en France — ont rappelé la destination exclusivement antibactérienne des antibiotiques. De nos jours plusieurs définitions coexistent, elles différent par la présence ou non des concepts de toxicité sélective, d’origine bactérienne et de limitation de cible aux seules bactéries.
Notes et références
- Les mots antibiose et antibiotique (dans « action antibiotique ») ont été formés par Vuillemin. (P. Vuillemin, « Antibiose et symbiose », dans Association française pour l'avancement des sciences, Compte rendu de la 18e session, Seconde partie, Notes et mémoires, (lire en ligne), p. 525-543.) Sur l'évolution sémantique subséquente du mot antibiotic en anglais, voir R. Bentley et J.W. Bennett, « What is an Antibiotic? Revisited », Advances in applied microbiology, vol. 52, , p. 303-331 spéc. 304, 312 et 330 (DOI 10.1016/s0065-2164(03)01012-8).
- (en) W. McDermott et D.E. Rogers, « Social ramifications of control of microbial disease », The Johns Hopkins Medical Journal, vol. 151, , p. 302-312.
- (en) Ronald Bentley et J.W. Bennett, « What Is an Antibiotic? Revisited », Advances in Applied Microbiology, vol. 52, , p. 303-331 (DOI 10.1016/S0065-2164(03)01012-8).
- (en) Yizhuo Wang, Rui Cui, Guiming Li et Qianqian Gao, « Teicoplanin inhibits Ebola pseudovirus infection in cell culture », Antiviral Research, vol. 125, , p. 1–7 (DOI 10.1016/j.antiviral.2015.11.003, lire en ligne, consulté le )
- Daniel Bovet, Une chimie qui guérit : histoire de la découverte des sulfamides, Paris, Payot, coll. « Médecine et sociétés », , 322 p. (ISBN 978-2-228-88108-1 et 9782228881081, OCLC 19567753, BNF 35007298)
- Heather L. Van Epps, « René Dubos: unearthing antibiotics », The Journal of Experimental Medicine, vol. 203, no 2, , p. 259 (ISSN 0022-1007, PMID 16528813, PMCID PMC2118194, DOI 10.1084/jem.2032fta, lire en ligne, consulté le ).
- « Bêta-lactamines (pénicillines - céphalosporines) », sur pharmacomedicale.org (consulté le )
- « Quinolones », sur pharmacomedicale.org (consulté le )
- Dix ans d'évolution des consommations d'antibiotiques en France, AFSSAPS, (lire en ligne)
- Guide - Affection de longue durée : Tuberculose active, Haute Autorité de Santé, (lire en ligne)
- (en) Idsoe O, « Nature and extent of penicillin side-reactions, with particular reference to fatalities from anaphylactic shock », Bull World Health Organzation, no 38, (lire en ligne)
- (en) Cooper JA Jr, « Drug-induced pulmonary disease. Part 1: Cytotoxic drugs », American Review of Respiratory Disease, (lire en ligne)
- (en) G. Kahlmeter et J.I. Dahlager, « Aminoglycoside toxicity - a review of clinical studies published between 1975 and 1982 », J. Antimicrob. Chemother., vol. Suppl. A., , p. 9-22 (PMID 6365884).
- Futura, « Les antibiotiques réduiraient l'efficacité des cellules immunitaires », sur Futura, (consulté le )
- D. Israël-Biet, « Pneumopathies Iatrogènes Immunoallergiques », Revue Française d'Allergologie et d'Immunologie Clinique, (lire en ligne)
- (Hôpital Saint Louis - Paris), « POUMON TOXIQUE IATROGENE », Publication de la Faculté de Médecine de Rennes (online), ? (lire en ligne)
- (en) Smith CR,, « Double-blind comparison of the nephrotoxicity and auditory toxicity of gentamicin and tobramycin. », New England Journal of Medicine, no 302, (lire en ligne)
- (en) Gallis HA, « Amphotericin B: 30 years of clinical experience », Revue of Infectious Disease, no 12(2), (lire en ligne)
- « Antibiotiques et insuffisance rénale », Extrait d'un DIU de thérapeutique anti-infectieuse, (lire en ligne)
- L. Jacob, « Insuffisance rénale aiguë », Publication SFAR - Les Essentiels 2005, (lire en ligne)
- S. Caillard, « Néphropathie interstitielle immuno-allergique », Réanimation, (lire en ligne)
- NOELLE PASQUALI, « LES TROUBLES URINAIRES ET VESICAUX INDUITS PAR LES MÉDICAMENTS », Thèse de Doctorat, (lire en ligne)
- (en) Bertino JS Jr, « Incidence of and significant risk factors for aminoglycoside-associated nephrotoxicity in patients dosed by using individualized pharmacokinetic monitoring », The Journal of Infectious Diseases, (PMID 8418164)
- (en) Fee Jr., W.E., « Aminoglycoside ototoxicity in the human », Laryngoscope, vol. 90, no 10, (PMID 7432055, lire en ligne)
- (en) Kisilevsky VE et al., « Monitoring vestibular ototoxicity », Roland PS, Rutka JA, eds. Ototoxicity. Hamilton, Canada: BC Decker, , p. 161–169
- Alain Améri, « Hypertension intra-crânienne iatrogène antibiotique », Neurologie clinique: Guide pratique, (lire en ligne)
- « fluoroquinolones », Dictionnaire médical de l'Académie de Médecine, (lire en ligne)
- (en) G Baumgartner, « Neurotoxicity of halogenated hydroxyquinolines: clinical analysis of cases reported outside Japan. », Journal Neurology Neurosurgery and Psychiatry, no 42 (12), (lire en ligne)
- (en) David M. Mintzer, « Drug-Induced Hematologic Syndromes », Advances in Hematology, (lire en ligne)
- (en) Singh N, « Beta-Lactam antibiotic-induced leukopenia in severe hepatic dysfunction: risk factors and implications for dosing in patients with liver disease », The American journal of medicine, no 94, (lire en ligne)
- (en) Birmingham MC, « Linezolid for the treatment of multidrug-resistant, gram-positive infections: experience from a compassionate-use program. », Clinical Infectious Disease, no 36(2), (lire en ligne)
- « Hépatites aiguës médicamenteuses en bref », Revue Prescrire, no 31, (lire en ligne)
- Hélène Paradis, Daniel J.G. Thirion et Luc Bergeron, « Les allergies croisées aux antibiotiques : comment s’y retrouver? », Pharmactuel, vol. 1, , p. 22-33 (lire en ligne [PDF])
- Laurent Beaugerie, « La diarrhée médicamenteuse », Publication du Service de Gastroentérologie et Nutrition Hôpital Saint-Antoine, (lire en ligne)
- (en) V.G. Shelat, M. Seah et K.H. Lim, « Doxycycline induced acute erosive oesophagitis and presenting as acute dysphagia », J. Assoc. Physicians India, vol. 59, , p. 57-59 (PMID 21751670)
- (en) Martin Blaser, « Antibiotic overuse : Stop the killing of beneficial bacteria », Nature, vol. 476, , p. 393–394 (DOI 10.1038/476393a).
- (en) Plummer S, Weaver MA, Harris JC, Dee P, Hunter J. « Clostridium difficile pilot study: effects of probiotic supplementation on the incidence of C. difficile diarrhoea » Int Microbiol. 2004 Mar;7(1):59-62.
- « Traitement de la diarrhée aiguë de l'adulte en pays occidental » Rev Prescr 1999 ; 19 (197):490-1
- International Journal of Cancer, 2008/08/14, doi:10.1002/ijc.23622
- Roger Dobson ; Antibiotics may be linked to risk of cancer ; BMJ 2008; 337:a1381 doi:10.1136/bmj.a1381, publié 2008/08/21 (Résumé)
- (en) H.M. Tamim, A.H. Hajeer, J.F. Boivin et J.P. Collet, « Association between antibiotic use and risk of prostate cancer. », Int. J. Cancer, vol. 127, , p. 952-960
- (en) L. Trasande, J. Blustein, M. Liu, E. Corwin, L.M. Cox, M.J. Blaser, « Infant antibiotic exposures and early-life body mass », International Journal of Obesity, vol. 37, no 1, , p. 16-23 (DOI 10.1038/ijo.2012.132)
- (en) Stephen R. Palumbi, « Humans as the world's greatest evolutionary force », Science, vol. 293, , p. 1786-1790 (PMID 11546863)
- (en) A. Robiczek, G.A. Jacoby et D.C. Hooper, « The worldwide emergence of plasmid-mediated quinolone resistance », Lancet Infect. Dis., vol. 6, , p. 629-640
- Jean-Marie Pagès, « Porines bactériennes et sensibilité aux antibiotiques », Médecine/Sciences, vol. 20, , p. 346-351 (PMID 15067581, lire en ligne)
- (en) Hyun Youk et Alexander van Oudenaarden, « Microbiology: Altruistic defence », Nature, no 467, , p. 34-35 (lire en ligne)
- mais le nombre de ces médicaments (comme Lysopaïne ou Solutricine) a diminué fortement récemment en France (à partir du 30 septembre 2005), en particulier pour réduire ces risques.
- Sur 10 000 personnes — estimation ancienne — qui succombent chaque année à une infection nosocomiale, environ 7 500, soit les ¾, seraient victimes de bactéries multirésistantes aux antibiotiques : « Les maladies nosocomiales »
- La consommation d’antibiotiques a baissé
- Colomb-Cotinat M, Lacoste J, Coignard B, Vaux S, Brun-Buisson C et Jarlier V, « Morbidité et mortalité des infections à bactéries multi-résistantes aux antibiotiques en France en 2012 : Etude Burden BMR, rapport - juin 2015 », sur avibep.org, (consulté le ).
- INSERM, « Résistance aux antibiotiques », (consulté le )
- Les antibiotiques en élevage : état des lieux et problèmes posés
- Utilisation des antibiotiques comme stimulateurs de croissance
- Agrisalon, « Questions et réponses concernant l'utilisation d'antibiotiques dans les aliments pour animaux », (consulté le )
- Agrisalon, « Conseil agricole européen, premiers résultats », (consulté le )
- Ministère de l'agriculture, de l'agroalimentaire et de la forêt, « Questions / réponses sur les antibiotiques à usage vétérinaire et sur l’antibiorésistance » (consulté le )
- Royer, É, Gourmelen, C. et Rugraff, Y, « Bannissement des facteurs de croissance antibiotiques : Quelles conséquences pour les producteurs de porcs européens - SANTE.pdf », Porc Québec, (lire en ligne [PDF], consulté le )
- Ministère de l'Agriculture, des Pêcheries et de l'Alimentation du Québec, « MAPAQ - Facteur de croissance », (consulté le )
- Claudette Samson, « Sus aux antibiotiques dans la viande | Dans mon panier » (consulté le )
- (en) Tom Philpott, « What the USDA Doesn't Want You to Know About Antibiotics and Factory Farms », (consulté le )
- FDA, « Summary report on antimicrobials sold or distibuted for use in foods », (consulté le )
- lien de téléchargement de l'application Dairy Antimicrobial Usage Calculator
- Antibiotiques : un nouvel outil à la disposition des vétérinaires et des éleveurs britanniques | Vetitude.fr | 04 janvier
- Audrey Garric (Blog Eco, « Le Parlement européen se prononce pour la fin des lapins en cage »
, sur lemonde.fr, (consulté le ). - Anne Chevance et Gérard Moulin, Anses – ANMV, « Rapport de l'Anses relatif au suivi des ventes de médicaments vétérinaires contenant des antibiotiques en France en 2013 : Volumes et estimation de l’exposition des animaux aux antibiotiques » [PDF], (consulté le )
- Gérard Moulin, « Antibiotiques en médecine vétérinaire: caractéristiques et évolution de l'exposition des animaux d'après les données du système national de surveillance » [PDF], (consulté le )
- Fédération des syndicats vétérinaires de France (FSVF), le Syndicat national des vétérinaires d’exercice libéral (SNVEL), l’Association française des vétérinaires pour animaux de compagnie (Afvac), l’Association vétérinaire équine française (Avef), la Société nationale des groupements techniques vétérinaires (SNGTV) et le Conseil national de l’Ordre des vétérinaires (Cnov).
- Vetitude (2017) Antibiotiques : une nouvelle base d’échange de données entre les vétérinaires et l’administration voit le jour, 17 nov 2017
- Décret du 1er avril 2017, du « relatif à la transmission de données de cession des médicaments utilisés en médecine vétérinaire comportant une ou plusieurs substances antibiotiques »
- Vetitude (2018) : création d’une unité ENVT-Inra pour réduire les consommations d’antibiotiques en élevage|Vetitude.fr | 13 janvier 2018
- « Viande : Après les hormones, les antibiotiques ? : Antibiotique : la résistance des bactéries », La Recherche, no 314, , p. 59 (lire en ligne, consulté le )
- Waqas Nasir Chaudhry, Jeniffer Concepción-Acevedo, Taehyun Park et Saadia Andleeb, « Synergy and Order Effects of Antibiotics and Phages in Killing Pseudomonas aeruginosa Biofilms », PLoS ONE, vol. 12, no 1, (ISSN 1932-6203, PMID 28076361, PMCID PMCPMC5226664, DOI 10.1371/journal.pone.0168615, lire en ligne, consulté le )
- (en) H. M. Krisch, Marie-Françoise Prère, Sabrina N. Trojet et Françoise Tétart, « Phage-Antibiotic Synergy (PAS): β-Lactam and Quinolone Antibiotics Stimulate Virulent Phage Growth », PLOS ONE, vol. 2, no 8, , e799 (ISSN 1932-6203, PMID 17726529, PMCID PMC1949050, DOI 10.1371/journal.pone.0000799, lire en ligne, consulté le )
- (en) Shu J. Lam, Neil M. O'Brien-Simpson, Namfon Pantarat, Adrian Sulistio, Edgar H. H. Wong, Yu-Yen Chen, Jason C. Lenzo, James A. Holden, Anton Blencowe, Eric C. Reynolds & Greg G. Qiao, « Combating multidrug-resistant Gram-negative bacteria with structurally nanoengineered antimicrobial peptide polymers », Nature Microbiology, (lire en ligne)
- https://www.symposium.org/blog/crispr-antibiotics
- Mélanie Gomez avec VDM, « Les "eligobiotiques", les antibiotiques du futur », sur europe1.fr, (consulté le ).
- Desiderio Papp, « Histoire des antibiotiques », dans Revue d'histoire des sciences et de leurs applications, 1954, vol. 7, p. 124-138, consultable sur le site Persée
- Dans une publication de 1871, par exemple, John Scott Burdon-Sanderson signala qu'une culture recouverte de moisissure ne produisait pas de bactéries. Voir(en) Sherry Queener, J Alan Webber, Stephen W Queener et al., Beta-lactam antibiotics for clinical use, New York, M. Dekker, coll. « Clinical pharmacology » (no 4), , 673 p. (ISBN 978-0-8247-7386-1, OCLC 13525373), p. 4, partiellement consultable sur Google Books, qui renvoie à : J. B. Sanderson. Appendix No 5. Further report of researches concerning the intimate pathology of contagion. « The origin and distribution of microzymes (bacteria) in water, and the circumstances which determine their existence in the tissue and liquids of the living body ». 13th Report of the Medical Officer of the Privy Council [John Simon], with Appendix, 1870. Her Majesty's Stationary Office, Londres, 1871, p. 56-66. Réimprimé dans Quarterly Journal of Microscopical Science, n. ser., XI, 1871, p. 323-352, consultable sur le site du Journal of Cell Science.
- Desiderio Papp, « Histoire des antibiotiques », dans Revue d’histoire des sciences et de leurs applications, 1954, vol. 7, p. 124-138, consultable sur le site Persée.
- Joseph-Alexandre Auzias-Turenne, La syphilisation, Paris, 1878, p. 710.
Cité par F. Dagognet, Méthodes et doctrine dans l’œuvre de Pasteur, Paris, 1967, rééd. sous le titre Pasteur sans la légende, 1994, p. 331. - Cantani, A. 1885. Un tentative di batterioterapia. G. Int. Sci.Med. 7:493. https://www.ncbi.nlm.nih.gov/pmc/articles/PMC358167/pdf/cmr00049-0049.pdf. http://science.jrank.org/pages/48839/antibiotics.html
- cf The Conquest of Tuberculosis ; les résultats de Cantani et Babes furent diversement interprétés. Après eux toutefois d'autres recherches furent conduites, comme celles de Gustave Rappin et surtout de Vaudremer qui -à compter de 1910-soumit plus de deux-cents patients tuberculeux à un traitement à base de A. fumigatus
- https://www.ncbi.nlm.nih.gov/pmc/articles/PMC518043/pdf/jbacter00666-0105.pdf
- (de) « Bakteriolytische Enzyme als Ursache der erworbenen Immunität und die Heilung von Infectionskrankheiten durch dieselben », dans Zeitschr. F. Hygiene 31 : p. 1–65.
- http://www.editions-dangles.com/upload/106/600/4/0/9782703305460.pdf
- Jean Antoine Villemin, « Cantibiose », consultable sur Google Books
- Site Web de Jean-Luc GUESDON // CSTVN.FREE.FR
- Une histoire de la résistance aux antibiotiques
- (en) Selman A. Waksman, « What Is an Antibiotic or an Antibiotic Substance? », Mycological Society of America, vol. 39, no 5, , p. 565-569 (lire en ligne)
- C Géraut, D Tripodi ; Dermatoses professionnelles ; Encyclopédie médico-chirurgicale ; ref : 16-533-A-1016-533-A-10, 22 p, consulté 2010/11/21 (Télécharger le document en PDF)
- Yves Cohen et Christian Jacquot, Pharmacologie, Elsevier Masson, 2008, page 345.
Annexes
Articles connexes
- Antibiogouvernance
- Biologie
- Immunologie
- Microbiologie
- Prescription
- Médicament
- Surconsommation de médicaments
- Surprescription
- Iatrogénèse
- Iatrogénèse systémique
- Infection nosocomiale
- Résistance aux antibiotiques
- Liste de médicaments retirés du marché
- Liste des antibiotiques
- Classement des antibiotiques
- Probiotiques
- Antibiothérapie
- Antibiotique bêta-lactamine
- Amphotéricine B
- Utilisation des antibiotiques en agriculture
- Bactériophagiques
- Phagothérapie (dimensions politiques)
Liens externes
- « Antibiotiques : vie et mort des bactéries », Eurêka ! , France Culture, 13 juillet 2022.
- [PDF] Spectre d'activité des antibiotiques en France, AFSSAPS (agence du médicament)
- Antibiorésistance : Un phénomène naturel, Le Généraliste no 2086,
- Antibiorésistance en ORL, Le Généraliste no 2090,
- Antibiorésistance en urologie, Le Généraliste no 2091,
- EuroPhages - Phagothérapie en France: Se traiter avec des bactériophagiques
- http://www.invs.sante.fr/beh/
- Ressources relatives à la santé :
- Notices dans des dictionnaires ou encyclopédies généralistes :
- Portail de la pharmacie
- Portail de la médecine
- Portail de la microbiologie