3-Pyrrolidone
La 3-pyrrolidone est un composé chimique constitué d'un cycle à 5 contenant un atome d'azote (azolidine) substitué en position 3 par un groupe oxo. Il appartient à la classe des amines et cétones cycliques. C'est un isomère du γ-butyrolactame.
| 3-Pyrrolidone | |
| |
| Identification | |
|---|---|
| Nom UICPA | pyrrolidin-3-one |
| Synonymes |
3-pyrrolidinone, β-pyrrolidone, β-pyrrolidinone, pyrrolidin-3-one |
| No CAS | |
| No ECHA | 100.243.061 |
| PubChem | 233208 |
| SMILES | |
| InChI | |
| Propriétés chimiques | |
| Formule | C4H7NO [Isomères] |
| Masse molaire[1] | 85,104 5 ± 0,004 2 g/mol C 56,45 %, H 8,29 %, N 16,46 %, O 18,8 %, |
| Unités du SI et CNTP, sauf indication contraire. | |
Synthèse
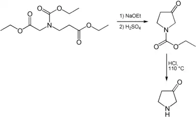
La 3-pyrrolidone peut être formée, par exemple, à partir de la réaction de condensation d'une amine tertiaire sur elle-même avec des quantités catalytiques d'éthanolate de sodium (NaOEt) et un traitement par de l'acide sulfurique est ultérieurement appliqué[2]. À partir de cette réaction, une 3-pyrrolidone substituée est obtenue. Elle peut être via une autre réaction chimique avec du chlorure d'hydrogène (HCl) hydrolysée puis décarboxylée[3].

Notes et références
- (de) Cet article est partiellement ou en totalité issu de l’article de Wikipédia en allemand intitulé « 3-Pyrrolidon » (voir la liste des auteurs).
- Masse molaire calculée d’après « Atomic weights of the elements 2007 », sur www.chem.qmul.ac.uk.
- T. Ohsawa, M. Ihara, K. Fukumoto, A Novel and Stereoselective Synthesis of cis-1,8-H-1-Hydroxypyrrolizidine, Heterocycles, 1982, vol. 19, p. 1605–1607.
- R. Kuhn, G. Osswald, D, L-β-Hydroxypyrrolidin und β-Pyrrolidonhydrochlorid, Angew. Chem., 1957, vol. 69, p. 60.
