2,5-Diméthoxy-4-bromoamphétamine
La DOB ou 2,5-diméthoxy-4-bromoamphétamine est une substance psychotrope hallucinogène et stimulante. On lui prête parfois un caractère enthéogène.
| DOB | |
| |
| Identification | |
|---|---|
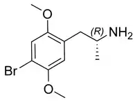
| Nom UICPA | (2R)-1-(4-bromo-2,5-diméthoxyphényl)propan-2-amine |
| Synonymes |
2,5-diméthoxy-4-bromoamphétamine |
| No CAS | , , , |
| SMILES | |
| InChI | |
| Propriétés chimiques | |
| Formule | C11H16BrNO2 [Isomères] |
| Masse molaire[1] | 274,154 ± 0,012 g/mol C 48,19 %, H 5,88 %, Br 29,15 %, N 5,11 %, O 11,67 %, |
| Propriétés physiques | |
| T° fusion | 63 à 65 °C |
| Caractère psychotrope | |
| Catégorie | Hallucinogène |
| Mode de consommation |
Ingestion |
| Autres dénominations |
|
| Unités du SI et CNTP, sauf indication contraire. | |
Historique
La DOB a été synthétisée la première fois par Alexander Shulgin en 1967.
Du fait de son caractère stupéfiant, c'est un produit réglementé par la convention sur les substances psychotropes de 1971.
Chimie
Cette substance appartient à la famille des phényléthylamines et celle des amphétamines.
Usage récréatif et détourné

Effets et conséquences
Elle aurait les mêmes effets que la 2-CB sur une durée plus longue (18 à 30 heures)[2].
Les effets ne se font sentir qu'après trois heures de latence où l'usager pourrait être tenté de prendre un autre produit et risque de se surdoser[2].
Sa toxicité est mal connue, mais de fortes doses semblent poser de graves problèmes de vasoconstriction aux extrémités des membres.
Molécule voisine
Elle est relativement proche d'un autre psychotrope hallucinogène : le STP ou DOM.
Notes et références
- Masse molaire calculée d’après « Atomic weights of the elements 2007 », sur www.chem.qmul.ac.uk.
- (en) Michel Hautefeuille et Dan Véléa, Les drogues de synthèse, Presses universitaires de France, coll. « Que sais-je ? » (no 3625), , 127 p. (ISBN 978-2-130-52059-7, OCLC 300468465)
