ⱷ
Le ⱷ, appelé phi sans queue, est un symbole utilisé par Halász Ignácz dans sa description du same de Pite de 1896. Il est composé d’un phi cursif sans hampe ascendante ‹ φ › dont la jambe descendante a été tronquée.
| Phi sans queue | |
ⱷ ⱷ |
|
| Graphies | |
|---|---|
| Bas de casse | ⱷ |
Utilisation

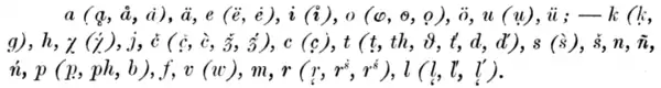
Symboles phonétiques utilisés par Halász en 1891.
Halász utilise le phi sans queue ‹ ⱷ › pour représenter une voyelle entre ‹ o › et ‹ ö ›[1], représentant respectivement [o] et [ø].
Représentations informatiques
Le phi sans queue peut être représenté avec les caractères Unicode (Latin étendu C) suivant :
| formes | représentations | chaînes de caractères | points de code | descriptions |
|---|---|---|---|---|
| minuscule | ⱷ | ⱷ | U+2C77 | lettre minuscule latine phi sans queue |
Notes et références
- Halász 1891, p. iv.
Bibliographie
- (hu) Halász Ignácz, Svéd-lapp nyelv., vol. 1, Magyar Tudományos Akadémia, (MTAK, HathiTrust)
- (hu) Halász Ignácz, Svéd-lapp nyelv., vol. 2, Magyar Tudományos Akadémia, (MTAK, HathiTrust)
- (hu) Halász Ignácz, Svéd-lapp nyelv., vol. 3, Magyar Tudományos Akadémia, (MTAK, HathiTrust)
- (hu) Halász Ignácz, Svéd-lapp nyelv., vol. 4, Magyar Tudományos Akadémia, (MTAK, HathiTrust)
- (hu) Halász Ignácz, Svéd-lapp nyelv., vol. 5, Magyar Tudományos Akadémia, (MTAK, HathiTrust)
- (hu) Halász Ignácz, Svéd-lapp nyelv., vol. 6, Magyar Tudományos Akadémia, (HathiTrust)
- (hu) Halász Ignácz, « A déli lapp nyelv hangjairól », Nyelvtudományi Közlemények, Magyar Tudományos Akadémia, vol. 23, , p. 206-215 (lire en ligne)
- (hu) Halász Ignácz, Pite lappmarki szótár és nyelvtan: rövid karesuandói lapp szójegyzékkel, Magyar Tudományos Akadémia, (lire en ligne)
- (en) Juhani Lehtiranta, Klaas Ruppel, Toni Suutari et Trond Trosterud, Report on progress in implementing the Uralic Phonetic Alphabet with indication of the need for additional characters and symbols (no L2/05-189 N2958), (lire en ligne)
- (en) Klaas Ruppel, Erkki I. Kolehmainen, Michael Everson, Asmus Freytag et Ken Whistler, Proposal to add six additional Uralicist characters to the UCS, (lire en ligne)
- Portail de l’écriture
Cet article est issu de Wikipedia. Le texte est sous licence Creative Commons – Attribution – Partage à l’identique. Des conditions supplémentaires peuvent s’appliquer aux fichiers multimédias.